聚乙二醇结构简式

神奇的聚乙二醇 | 科学公园
图片尺寸371x497
p>聚乙二醇是一种高分子聚合物,化学式是ho(ch sub>2 /sub>ch sub>2
图片尺寸989x659
聚乙二醇(peg系列)结构式图片|25322-68-3结构式图片
图片尺寸605x375
聚乙二醇|poly(ethylene glycol)|25322-68-3|adamas|mw:2000|rg|500g
图片尺寸642x292
em>聚 /em> em>乙 em>二醇 /em> /em>己二酸酯
图片尺寸484x300
聚乙二醇-27 羊毛脂结构式图片|8051-81-8结构式图片
图片尺寸605x375
试剂 材料科学 高分子科学 聚乙二醇和聚氧化乙烯 产品编码: red01100
图片尺寸800x800
聚乙二醇3350标准品
图片尺寸520x344
聚乙烯醇
图片尺寸284x320
polyethyleneglycol400hampton聚乙二醇400
图片尺寸1000x667
关于塑料 - 2020年最新商品信息聚合专区 - 百度爱采购
图片尺寸753x497
cas:50974-47-5化学结构
图片尺寸573x369
四臂聚乙二醇羧基,4arm peg-cooh
图片尺寸412x158
神奇的聚乙二醇
图片尺寸920x1302
聚乙二醇2000单甲醚
图片尺寸500x500
物竞化学品数据库
图片尺寸640x268
聚乙二醇二甲基丙烯酸酯结构式
图片尺寸605x375
聚乙二醇单甲醚结构式
图片尺寸250x250
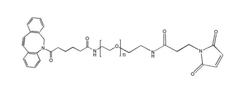
mal-peg-dbco,maleimide-peg-dbco中文名:马来酰亚胺聚乙二醇二苯基环
图片尺寸802x287
请问聚乙二酸乙二酯的结构式怎么写?_作业帮
图片尺寸450x190