聚碳酸酯分子式

聚碳酸酯是由碳酸聚合而成的吗?
图片尺寸421x171
上图就是聚碳酸酯的分子式,它就像人的基因,决定了聚碳酸酯的
图片尺寸311x220
碳酸酯基的 a target="_blank" href="/item/高分子聚合物/10404353"
图片尺寸1169x372
碳酸酯基的 a target="_blank" href="/item/高分子聚合物/10404353"
图片尺寸1037x691
聚碳酸酯结构式
图片尺寸535x401
pc高分子量树脂有很高的韧性,悬臂梁缺口冲击强度为600~900j/m,未填充
图片尺寸554x173
聚碳酸酯
图片尺寸337x360
pc lv2250z 聚碳酸酯
图片尺寸500x500
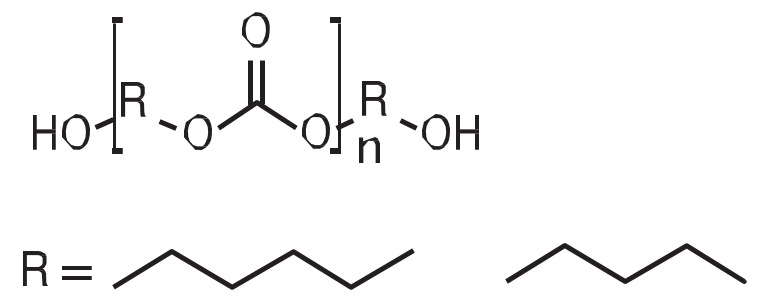
5-戊二醇和1,6-己二醇共聚类型的聚碳酸酯多元醇(pcd)产品,参考分子
图片尺寸767x300
聚氨酯化学资料ppt
图片尺寸800x600
mol相关类别感光功能高分子材料;高分子材料;塑料光盘;酯类;聚碳酸酯
图片尺寸313x228
聚碳酸酯
图片尺寸728x363
聚碳酸酯的结构与性能课件
图片尺寸920x517
聚碳酸酯二元醇pcdl
图片尺寸605x375
聚碳酸酯也叫 聚碳酸脂
图片尺寸250x72
自然科学 化学 聚碳酸酯ppt 一,概述 一,聚碳酸酯的定义 o 分子主链中
图片尺寸1080x810
聚碳酸酯中的贵族–共聚pc(含硅共聚pc,生物基pc)进展介绍 – 高分子
图片尺寸640x394
pu聚氨酯
图片尺寸383x211
聚氨酯弹性体的最新动向
图片尺寸1535x626
cn101432361a_聚碳酸酯系树脂组合物,使用该聚碳酸酯系树脂组合物的
图片尺寸1340x538