胡克定理

胡克定律的广义胡克定理
图片尺寸353x290
弹簧的弹性力 胡克定律 f kx f kxi m o x m x f
图片尺寸1080x810
上海的注册电气工程师培训资料,流体力学辅导讲义 5-9 由胡克定理
图片尺寸1080x810
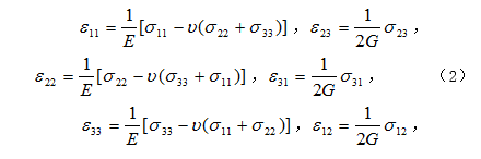
胡克弹性定理
图片尺寸220x176
既生胡克,何生牛顿——科学界的暗黑历史
图片尺寸520x295
材料力学刘鸿文资料第章广义胡克定律ppt
图片尺寸860x645
材料力学刘鸿文资料第章广义胡克定律ppt
图片尺寸860x645
工程力学广义胡克定律的一道题求详细过程谢谢
图片尺寸458x352
材料力学课件-广义胡克定律
图片尺寸960x720
胡克定理 胡克定理写真 壁纸 - 云网娱乐平台
图片尺寸900x600
2.1广义胡克定律
图片尺寸928x660
33胡克定律ppt
图片尺寸800x600
胡克定律ppt
图片尺寸1080x810
动力学特征 胡克定律:物体 所受弹性力与物 体的位移成正比 而反向
图片尺寸1080x810
胡克弹性定理
图片尺寸440x146
胡克弹性定理
图片尺寸446x304
材料力学08应力状态分析_3广义胡克定律与强度理论_土ppt
图片尺寸1080x810
生 力的相互作用复习课件答案ppt 力的相互作用复习课件 胡克定律
图片尺寸1080x810
活动作品高中物理弹力专题胡克定律经典例题双物体双弹簧简单易懂
图片尺寸972x607
胡克定律
图片尺寸1080x810