芳香醚

基础有机化学 l22-3 芳香醚,芳香酯的反应
图片尺寸6912x4320
图片浏览
图片尺寸233x133
聚芳香醚类高分子种类
图片尺寸765x516
1. 含芳香醚结构的重要分子
图片尺寸400x394
精油化学丨具麻醉功效抗痉挛的醚类应小心控制用量
图片尺寸640x781
n-叔丁氧羰基-吖丁啶芳香醚化合物,n-叔丁氧羰基是一种保护基_大环
图片尺寸1200x1140
茴香醚
图片尺寸605x375
芳香醚
图片尺寸220x68
无色液体.有芳香气味.沸点155.5℃.溶于乙醇和乙醚,不溶于水.
图片尺寸503x453
泡沫961光滑表面无光泽涂层织带-芳香醚tpu
图片尺寸600x600
pd催化芳香醚氢解
图片尺寸394x376
口罩残留有致癌物
图片尺寸1000x890
醇,酮,醚等都是烃的衍生物,而芳香烃就是带有苯环的化合物,并非所有
图片尺寸535x348
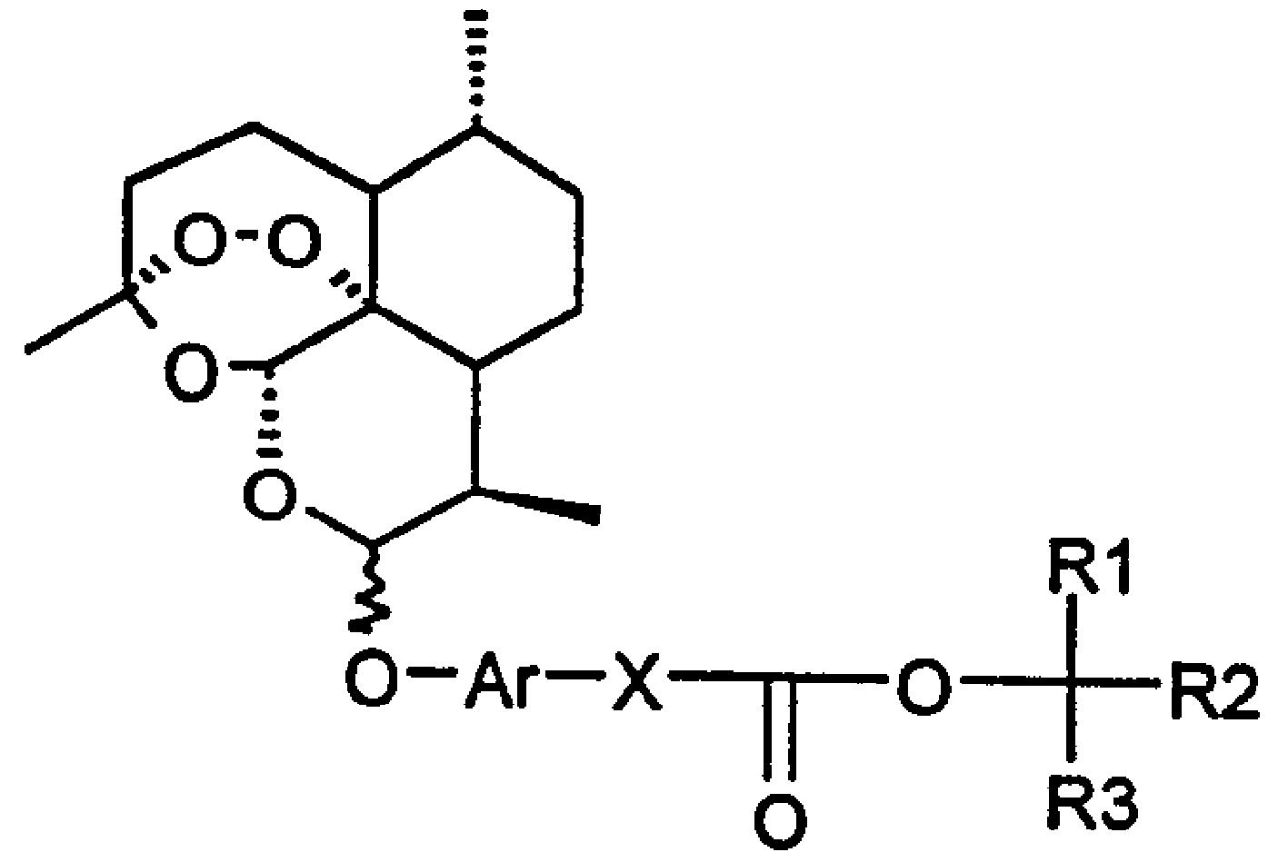
青蒿素芳香醚类衍生物及其制备方法-爱企查
图片尺寸1417x949
2015年我国其他芳香醚及其卤化磺化硝化或亚硝化衍生物29093090进出口
图片尺寸600x301
醚醇
图片尺寸303x301
镍卡宾催化的芳香醚的氢解反应机理研究工作
图片尺寸468x454
85a芳香醚热塑性聚氨酯合金金100,300涂层织带
图片尺寸600x600
科普护手霜的有效化学成分防护原理及制作工艺
图片尺寸720x364
1nitro2propoxybenzene
图片尺寸250x250