苯丙醛

苯丙醛(cas:104-53-0) 结构式图片
图片尺寸484x300
2-苯丙醛
图片尺寸800x800
22二甲基3苯丙醛
图片尺寸250x250
2-苯丙醛
图片尺寸600x600
苯丙醛|hydrocinnamaldehyde|104-53-0|alfa|95%|1000g
图片尺寸766x311
苯丙醛
图片尺寸496x240
2-苯丙醛
图片尺寸300x300
苯丙醛
图片尺寸225x200
苯丙醛
图片尺寸1056x1056
2-甲基-3-苯丙醛
图片尺寸605x375
4-(三氟甲基)苯丙醛
图片尺寸600x600
苯丙醛
图片尺寸200x88
3,5-双(三氟甲基)-苯丙醛
图片尺寸500x500
α-4-二甲基苯丙醛
图片尺寸400x400
苯丙醛
图片尺寸1056x1056
对叔丁基苯丙醛
图片尺寸363x225
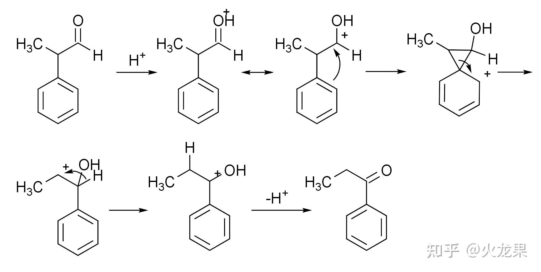
2苯丙醛如何变成1苯丙酮
图片尺寸1731x870
苯丙醇
图片尺寸268x268
>化工字典>807667-28-3中文名称: (9ci)-alpha,4-二氯-3-甲基-苯丙醛
图片尺寸321x205
对乙氧基甲酰苯丙醛
图片尺寸300x300