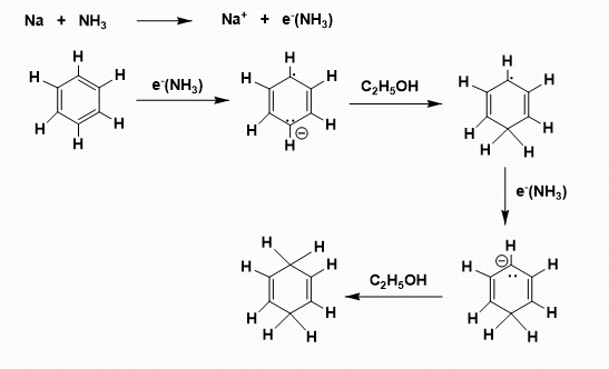
苯的凯库勒式

凯库勒苯环结构的的缺陷 凯库勒式 缺陷1:不能解释苯为何不起类似烯烃
图片尺寸1080x810
3《石油和煤 重要的烃》课件1ppt 苯的结构式(凯库勒式) 苯的结构式
图片尺寸1080x810
凯库勒式(凯库勒1865年提出)
图片尺寸113x126
凯库勒式苯的结构
图片尺寸415x463
凯库勒式
图片尺寸1080x810
为何苯的凯库勒式是不准确的,但仍然在用?
图片尺寸720x429
苯和芳香烃ppt 苯分子结构小结: 1,苯的分子结构可表示为: 凯库勒式
图片尺寸1080x810
凯库勒式
图片尺寸1080x810
【开眼看世界】c64h64苯环(benzene ring)苯分子结构和萘分子结构
图片尺寸1376x860
分子式 思考: c6h6 h 结构式 h c c c h c c c h 根据苯的凯库勒式
图片尺寸1080x810
所以凯库勒式仅有习惯性的纪念意义
图片尺寸1080x810
凯库勒式
图片尺寸1080x810
苯的结构式
图片尺寸294x201
为何苯的凯库勒式是不准确的但仍然在用
图片尺寸466x259
苯分子的分子式是______;结构式是______;结构简式(凯库勒式)是
图片尺寸384x279
苯的电子式怎么画?不要按凯库勒式画的!
图片尺寸450x338
为何苯的凯库勒式是不准确的但仍然在用
图片尺寸547x332
鲍林式和凯库勒式
图片尺寸221x154
大学化学求助啊,写结构式
图片尺寸1944x2592
每一个有机物都有自己的凯库勒式?
图片尺寸450x185