苯的p轨道示意图

苯的π分子轨道能级图
图片尺寸300x253
苯的基态分子轨道与电子排布
图片尺寸720x741
苯中的大pai键的结构是怎样的?
图片尺寸265x232
分子轨道理论 四个碳原子的四个p原子轨道, 线性组合成4个л
图片尺寸1080x810
苯:为什么说苯不存在cc单键和双键?6个环状苯之间是怎样共用六个对的?
图片尺寸362x453
在苯分子当中,碳原子把最外层的四个电子和四个轨道进行了重新分布,一
图片尺寸351x390
按照轨道杂化理论:苯分子中六个碳原子都以sp2杂化轨道相互重迭形成六
图片尺寸666x666
benzol(e) 【 结构 或分子式】c原子以sp2 杂化轨道 形成σ键
图片尺寸402x319
p层轨道电子云示意图
图片尺寸220x213
对羟基苯甲醛,p-hydroxybenzaldehyde
图片尺寸352x357
总共12个σ键,苯的碳原子是sp2杂化,三个sp2杂化轨道在同一平面内,剩
图片尺寸450x361
p data-id="gnbuorjr58">苯是一种无色具有特殊芳香气味的液体,沸点
图片尺寸500x305
spdf轨道轮廓图
图片尺寸920x1303
如图是s能级p能级的原子轨道图.
图片尺寸568x169
有没有原子轨道的伸展方向示意图啊?
图片尺寸450x418
如图是s能级和p能级的原子轨道图,试回答问题
图片尺寸223x115
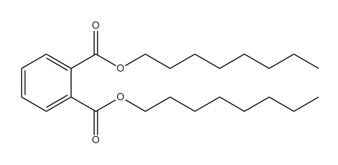
p>邻苯二甲酸二辛酯(dop),是一种有机酯类 a target="_blank" href="
图片尺寸1419x692
bc 苯分子中6个碳原子都是sp2杂化,每一个碳原子中的三个sp2杂化轨道
图片尺寸609x872
spdf轨道轮廓图
图片尺寸920x1280
总共12个σ键,苯的碳原子是sp2杂化,三个sp2杂化轨道在同一平面内,剩
图片尺寸496x398