苯羟基

对照品|中药对照品|标准品购买|对照品查询|四川省维克奇生物标准品网
图片尺寸1056x915
对甲基苯磺酰氯和脂肪醇羟基反应的机理图欢迎大家拍砖
图片尺寸676x366
邻羟基苯甲酸.俗名为水杨酸.
图片尺寸72x66
cn107935834a_一种对羟基苯甲醛的合成方法在审
图片尺寸1446x591
对羟基苯甲酸甲酯
图片尺寸546x276
25二羟基苯甲酸
图片尺寸300x300
1-羟基苯并三唑
图片尺寸800x800
2,5-二羟基-1,4-苯喹酮
图片尺寸705x642
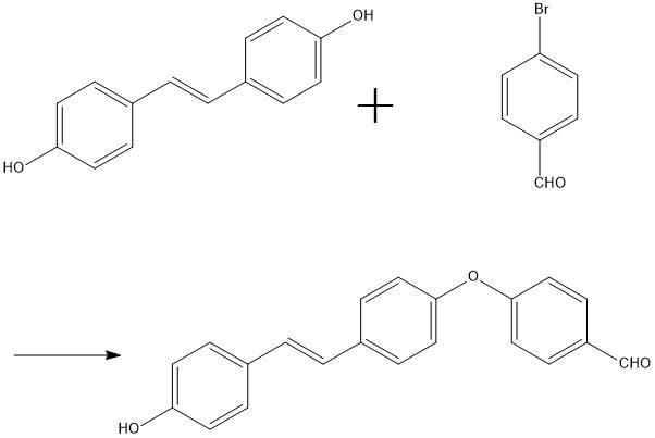
求助酚羟基和对溴苯甲醛的反应
图片尺寸602x403
玉米赤霉烯酮(zearalenone ;zea)是一种大环内酯,包括与1,3-二羟基苯
图片尺寸500x500
2羟基苯乙酸乙酯
图片尺寸400x400
1-羟基苯并三氮唑 水合物|1-hydroxybenzotriazole hydrate|123333-53
图片尺寸873x446
diphlorethohydroxycarmalol
图片尺寸600x600
光催化苯羟基化制苯酚研究进展
图片尺寸1436x1943
gaussian-连苯三酚酚羟基酸性强弱计算与对比
图片尺寸1728x1080
Αr4溴Α羟基苯丙酸甲酯
图片尺寸488x962
2150-45-0,2,6-二羟基苯甲酸甲酯,2,6-dihydroxybenzoic acid methyl
图片尺寸1256x955
76 g/mol 纠错 中文名 双(3,5-二叔丁基-4-苯羟基)硫化物 双(3,5-二叔
图片尺寸300x300
2,3,4,4-四羟基二苯基甲烷
图片尺寸800x800
p羟基甲基苯甲酸
图片尺寸605x375