萘蒽菲的编号
 - 萘,蒽的碳位怎么排?图片尺寸477x199
 - 复杂化合物命名及编号原则ppt图片尺寸1080x810
 - 蒽,菲都是三个苯环并在一起.只是位置不同图片尺寸462x183
 - 分别是苊烯(acpy),苊(acp),芴(flu),菲(phe),蒽(ant),荧蒽(flua),芘图片尺寸1887x2033
 - 复旦大学_化学系_高翔老师__课件_有机化学(上)第七章-3ppt图片尺寸1080x810
 - 包括苯系芳香烃及其衍生物,如苯,萘,联苯图片尺寸288x195
 - 甲茚及其同系物,萘 ,甲基萘,乙基萘,二甲基萘以及蒽,厄 ,菲等组分均为图片尺寸856x707
 - 张多 高环多环芳烃的降解ppt图片尺寸1080x810
 - pahs认证 顺德各种橡胶配件pahs认证图片尺寸759x1282
 - 所有分类 高等教育 农学 第三章 芳香烃 有机化学教学资料 萘 蒽 菲图片尺寸1080x810
![万盈蒽菲专注骨胶原30年值得信赖.国妆特准字[爱心]蒽菲皙白 - 抖音](https://imgs.wantubizhi.com/img/735A5D1F980B52A636CC46F12F2D1A738B75243A4823F08643670BB43BB6C9FD67C03127DD4F81050DCCEB005E648124B20B82CA1BB4AC4748B23C4EBB6C2363EA921928CD17173DB5A04F74CE264291DBBC945ECBBAE8A3662EB77CEEC49D92) - 万盈蒽菲专注骨胶原30年值得信赖.国妆特准字[爱心]蒽菲皙白 - 抖音图片尺寸918x750
 - 萘蒽菲取代基的定位规律是什么?如下几题图片尺寸1052x780
 - 常见的稠环芳香烃如萘,蒽,菲,芘等,其结构【参考答案】图片尺寸366x111
 - 环境污染物萘,蒽,菲,芘的好氧微生物降解图片尺寸1517x2144
 - 苯萘蒽菲有机化合物的中文命名图片尺寸225x225
 - 如萘,联苯,对苯二酚,蒽,咔唑,苯并噻吩和菲图片尺寸640x782
 - 音萘专属话题 #yj剪辑团 #菲梦少女 @抖音小助手 @d - 抖音图片尺寸1080x604
 - 6 苯和芳香烃ppt图片尺寸1080x810
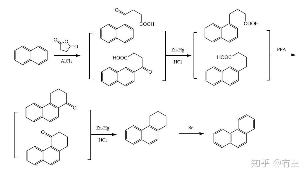
 - 怎么用苯和萘合成蒽图片尺寸1039x595
 - 追问 能说说蒽和菲吗?这是什么?有什么区别?图片尺寸600x228