解三角函数

几道三角函数题.请速解一下 谢谢
图片尺寸2638x2462
解三角函数.
图片尺寸1040x780
高中解三角函数题,求详细的解答过程,很感谢,最好写在纸上,谢谢
图片尺寸838x630
三角函数及解三角形公式一览pdf6页
图片尺寸793x1119
高中数学解三角函数高考真题三
图片尺寸1371x709
一道解三角函数方程的题
图片尺寸450x261
高考数学三角函数及解三角形题型复习(基础精心整理)学生版.docx
图片尺寸993x1404
求解三角函数方程组-cos(c4)sin(c5)=cos(c3)x sin(c3)z;cos(c5)=-sin
图片尺寸481x573
三角函数与解三角形公式.#数学解题技巧 #数学 #学习 #知 - 抖音
图片尺寸1080x1396
高中数学三角函数方程 5tanx=6cosx怎么解得sin=2/3呢?
图片尺寸603x308
完整版解三角形知识点归纳附三角函数公式2推荐文档
图片尺寸920x1301
解直角三角形特殊角的三角函数值
图片尺寸920x1191
三角函数问题,这里解出wx 兀/4的取值,,他应该在sinx的递减区间里,那
图片尺寸700x607
解三角函数
图片尺寸519x389
2019版高考数学复习三角函数解三角函数第五节三角恒等变换实用课件理
图片尺寸920x690
满分攻略高中数学一题多解秒解三角函数解三角形超强
图片尺寸1242x1757
高一数学 三角函数图象 求过程!就是怎么解的
图片尺寸450x456
三角函数公式docx
图片尺寸920x1302
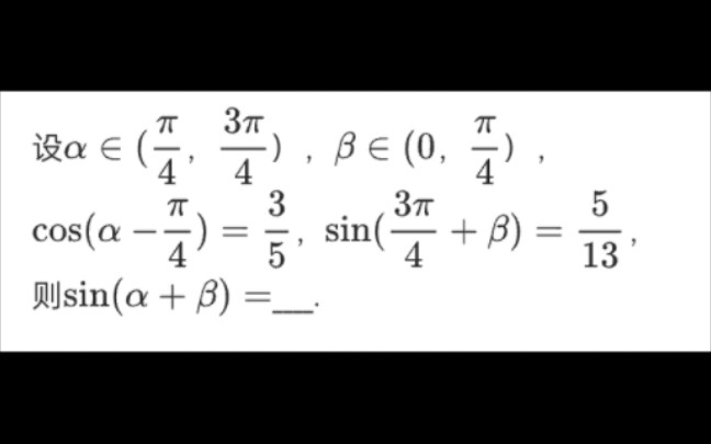
【三角函数】解三角函数值
图片尺寸648x405
求大神解三角函数.化简半天还是不知道用什么公式.
图片尺寸2560x1440