路径

计算机图标剪辑艺术路径
图片尺寸750x692
悬索桥,路径,山,树 桌布 - 2880x1800
图片尺寸2880x1800
景观路径设计常见样式
图片尺寸564x825
金色的路径
图片尺寸800x533
路径也能美让你看花眼的景观
图片尺寸848x1130
不走寻常路!景观路径的n多种玩法
图片尺寸334x500
花式路径设计只有你想不到的
图片尺寸660x990
万万没想到,路径还能美成这样!
图片尺寸640x384
自然,路径,方式
图片尺寸960x640
景观园林设计景观路径17种设计方式
图片尺寸564x691![[分享]花式路径设计,只有你想不到的!](https://imgs.wantubizhi.com/img/A1A61BAA66193547F3A6DD7D8EE527E943177A01056CCE1AC51F6927E71888129BE5A15C915BDF42E573D94CD33DFA351925539F893F75F4FD5CF449C9C674E3C261B26F43995ECFFDB51F489161B9D4C71B962A978A386C6744BC28244534BC)
[分享]花式路径设计,只有你想不到的!
图片尺寸536x806
森林,树木,路径,雾 壁纸
图片尺寸1280x1024
短路问题与标号算法labelcorrectingalgorithm研究2最短路径问题简介
图片尺寸500x375
7个步骤教你制作用户路径地图内附源文件
图片尺寸3300x2000
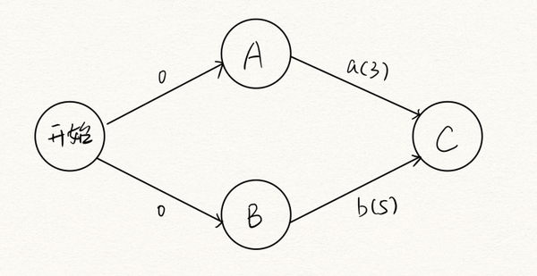
你一定看得懂的关键路径概念
图片尺寸720x371
路径分析
图片尺寸610x503
道路,附近的,海,领先,弯曲,路径,灰色
图片尺寸1024x587
万万没想到,路径还能美成这样!
图片尺寸640x427
名称:路径直接开始业务
图片尺寸1024x683
园林景观路径的17种设计样式
图片尺寸564x372