连通子图

耗子连线画图片素材
图片尺寸800x811
点击下载《梨子连线画图片素材》原图梨子图片梨子连线
图片尺寸800x1132
大猩猩连线画图片素材
图片尺寸800x800
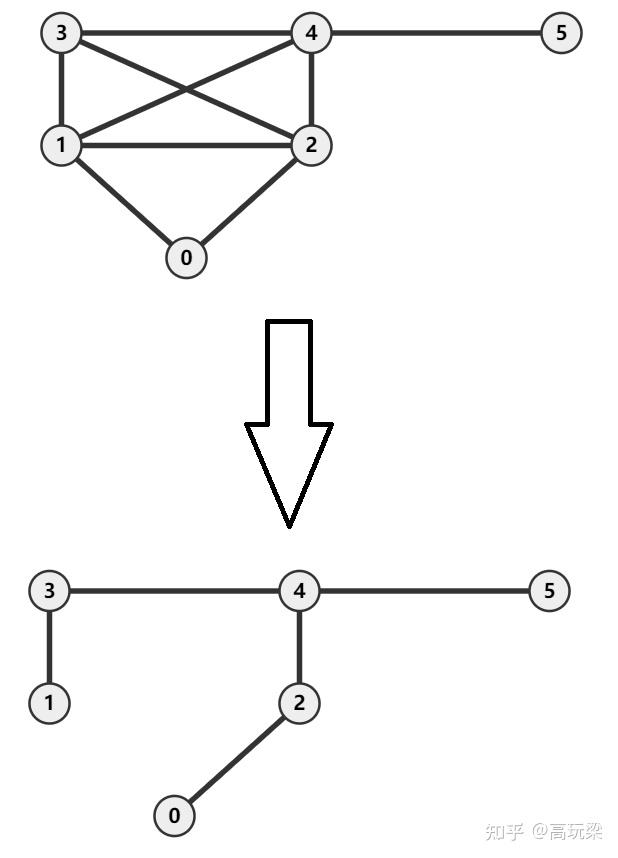
算法学习笔记:连通图详解
图片尺寸2185x1145
有n个顶点的强连通图最多有多少条边,最少有多少条边
图片尺寸448x355
这个的极大连通子图是什么?
图片尺寸378x504
在一个图里求连通子图
图片尺寸2448x3264
连通图
图片尺寸985x697
卡通 漫画 头像 450
图片尺寸800x480
有向连通图
图片尺寸1664x496
什么是极大强连通子图?
图片尺寸618x858
极大连通子图 & 极小连通子图强连通图:在无(有)向图g=( v, {e} )中
图片尺寸1088x659
一图搞清楚(非)(强)连通图中的极大(小)(强)连通子图
图片尺寸902x419
连通图
图片尺寸643x238
一图搞清楚(非)(强)连通图中的极大(小)(强)连通子图
图片尺寸613x293
连通,连通图和连通分量
图片尺寸742x337
如下图(a)所示, 图g4有3个连通分量,如图(b)所示:若一个图有n个顶点
图片尺寸1250x502
基础-8:寻找强连通子图
图片尺寸590x716
拒绝快餐式思维|《深度思考》:利用5why6步法逼近问题本质
图片尺寸632x351
扫二维码下载作业帮
图片尺寸278x412