迭代算法

自然科学 数学 4-牛顿迭代法1 牛顿(newton)迭代法 平方根算法求 2
图片尺寸1080x810
迭代法求解线性方程组
图片尺寸813x519
方程求根的迭代法——牛顿迭代法
图片尺寸2047x2444
非线性拟合与牛顿迭代法
图片尺寸1654x2339
线性方程组迭代法之高斯赛德尔迭代法
图片尺寸2045x2872
迭代图像算法原理步骤的示意图
图片尺寸1054x739
图 5 迭代算法流程图
图片尺寸840x1392
矩阵方程约束解的迭代算法 ,张凯院 编著 9787118100556 国防工业出版
图片尺寸602x800
牛顿迭代法
图片尺寸1080x711
递归与迭代的区别
图片尺寸822x433
【连载6】如何进行快速迭代?
图片尺寸1007x476
一种基于uphfpr一致性迭代算法的医生决策方法
图片尺寸1000x470
实验十 线性方程组的迭代法001
图片尺寸814x1104
雅克比迭代法
图片尺寸726x964
迭代模型
图片尺寸404x771
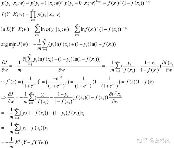
梯度下降法迭代公式
图片尺寸600x510
3牛顿迭代法2-3
图片尺寸1080x810
高斯牛顿迭代法
图片尺寸647x461
牛顿迭代法
图片尺寸456x379
jacobi迭代法
图片尺寸417x209