选择排序法流程图

选择排序_流程图:键盘输入n个数,存到数组中,对其进行选择排序-csdn
图片尺寸791x559
c语言选择排序算法
图片尺寸1064x2007
选择排序排序算法数据结构代码实现及代码注释
图片尺寸1280x720
c 算法基础(1)--选择排序详细讲解
图片尺寸682x923
选择排序算法实现流程图
图片尺寸360x1024
c语言选择排序无法排序c语言入门选择排序代码实现而不是排序方法阐述
图片尺寸353x918
数据结构:简单选择,直接插入,快速排序,冒泡排序希尔排序,堆排序算法
图片尺寸792x1120
排序算法---选择排序(selection sort)
图片尺寸700x390
c#选择排序详解
图片尺寸480x452
排序算法(冒泡算法,选择排序)
图片尺寸3508x5906
几种排序算法流程图pdf
图片尺寸860x1216
选择排序流程图
图片尺寸920x1302
流程图——选择结构ppt
图片尺寸1080x810
跪求选择排序流程图
图片尺寸553x504
流程二,快速排序的工作原理原理:指针之间的移动,我们选择一个基准值
图片尺寸896x477
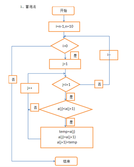
"数组a(1)到a(10)进行选择排序法排序的算法请用流程图来描述",这个
图片尺寸356x597
选择排序_流程图:键盘输入n个数,存到数组中,对其进行选择排序-csdn
图片尺寸791x391
数据结构排序直接插入排序折半插入排序冒泡排序简单选择排序的实验
图片尺寸439x1071
实验九排序算法的实现插入排序快速排序选择排序归并排序直接插入排序
图片尺寸569x708
几个简单排序算法流程图
图片尺寸1018x1466