阶乘

阶乘怎么算,忘了,数学题
图片尺寸2160x3840
阶乘公式怎么理解?怎么推导出来的,详细过程,谢谢
图片尺寸446x194
以叠代法计算任意随机数字的阶乘.pdf
图片尺寸800x1132
python求前n项的阶乘之和
图片尺寸589x461
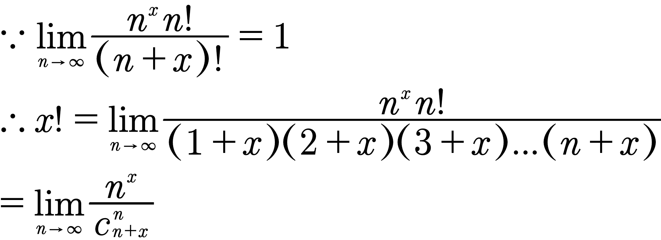
带阶乘的极限
图片尺寸1080x809
阶乘化简常用公式
图片尺寸570x228
分数次阶乘,导数
图片尺寸2150x780
阶乘公式怎么理解?怎么推导出来的,详细过程,谢谢
图片尺寸590x191
用双阶乘表示.
图片尺寸744x354
关于c阶乘的公式的图片及评论
图片尺寸450x365
python小程序分享14-阶乘的两种实现方法 本次分享的小程序为阶乘的
图片尺寸2335x1280
n的阶乘的通项公式
图片尺寸570x228
1的双阶乘等于多少?还有-3的双阶乘,-5的双阶乘分别等于多少?
图片尺寸1728x1080
有趣的阶乘
图片尺寸256x365
阶乘是什么意思阶乘的运算法则
图片尺寸1080x771
阶乘是什么意思阶乘的运算法则
图片尺寸1080x678
展开全部 阶乘的定义 向左转 向右转
图片尺寸960x540
其中双感叹号表示关于偶数k的双阶乘,比如对于函数f(x),那么f(k)!
图片尺寸5580x2920
高数的泰勒公式,看不懂圈着的那部分,求大神详细解释下那些阶乘是怎么
图片尺寸960x720
阶乘公式
图片尺寸1286x576