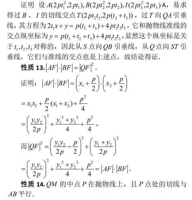
阿基米德三角形性质

阿基米德三角形的性质.docx
图片尺寸1594x2255
阿基米德三角形ppt模板
图片尺寸1200x6245
阿基米德三角形的性质
图片尺寸920x1302
二次函数图像上的阿基米德三角形性质
图片尺寸1295x1754
圆锥曲线之阿基米德三角形#大数据推荐给有需要的人 #家长收藏 - 抖音
图片尺寸1438x2036
新高考之阿基米德三角形 苏北七市的12题多选题考了一个千年古图
图片尺寸1294x1280
阿基米德三角形的性质与应用
图片尺寸669x696
阿基米德三角形的相关性质
图片尺寸1332x1864
阿基米德三角形经典性质与结论
图片尺寸1080x1439
阿基米德三角形性质总结
图片尺寸1080x1439
阿基米德三角形
图片尺寸1440x1859
阿基米德三角形的性质与应用
图片尺寸655x686
阿基米德三角形性质与高考题
图片尺寸800x1132
高考超级无敌的阿基米德三角形
图片尺寸1080x1336
高考数学150分书籍,阿基米德三角形必须掌握的结论,只需要 - 抖音
图片尺寸1440x2466
重难点高分突破130——阿基米德三角形.【题型归纳目录】 题 - 抖音
图片尺寸1358x1920
高考数学研究阿基米德三角形的性质
图片尺寸402x1163
阿基米德三角形
图片尺寸542x454![[转载]阿基米德三角形的性质](https://imgs.wantubizhi.com/img/ADDA3C5D760C6828B77B505A29D43E83072C230E3773BCA3D3426C9B3C1D2286AB12B3036D78D1F81923BFAC4818B33B86AD15B198BEEE26E800902EECD7718963E376B48CBA7F7ED33EEB79674C86B4A94DFEFB3E0E49ECE1DD6015AE11FCDA)
[转载]阿基米德三角形的性质
图片尺寸524x973
高考解析几何讲座之:阿基米德三角形的11个性质
图片尺寸1080x855