降维图法

ng第十四课:降维(dimensionality reduction)
图片尺寸916x485
数据降维主成分分析法
图片尺寸995x749
数据降维 | 主成分分析(pca)
图片尺寸566x566
机器学习与深度学习面试系列九降维
图片尺寸658x408
简述多种降维算法
图片尺寸307x230
降维dimensionality reduction
图片尺寸1080x556
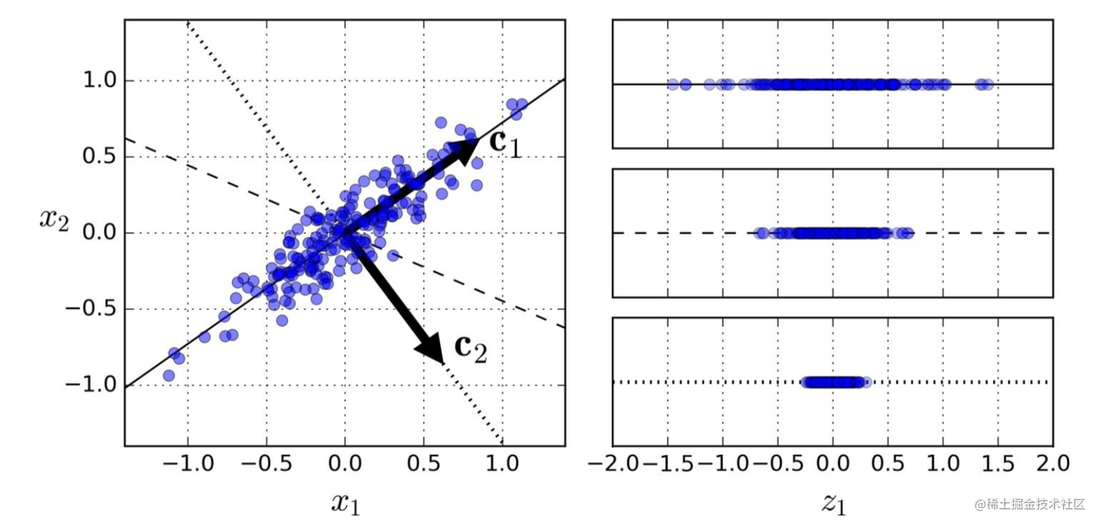
降维的主要方法
图片尺寸1596x764
降维
图片尺寸698x702
机器学习:降维技术完整指南
图片尺寸640x393
pythonarray按行归一化使用python进行数据降维
图片尺寸1080x834
降维方法pcasvdldalle
图片尺寸1000x400
降维
图片尺寸424x379
机器学习之降维
图片尺寸440x435
各类降维方法总结
图片尺寸550x404
机器学习笔记pca降维 | 码农家园
图片尺寸830x576
dimensionalityreduction降维
图片尺寸295x337
如何在20分钟内快速了解数据降维和参数降维
图片尺寸456x342
降维
图片尺寸820x477
跟着cell学作图5umap降维分析
图片尺寸941x748
t-sne降维算法
图片尺寸2126x1338