除法竖式二年级上册

二年级数学除法竖式练习题
图片尺寸920x1302
二年级数学除法竖式练习题
图片尺寸800x1132
二年级数学除法竖式练习题doc1页
图片尺寸792x1120
二年级除法竖式
图片尺寸920x1303
除法不但是本学期的重点对于四年级除数是两位数的除法也是重要的基础
图片尺寸2000x2667
小学二年级数学用竖式计算 有余数的除法|有余数的除法|有余数的除法
图片尺寸496x702
列竖式:有余数的除法
图片尺寸1999x2568
有余数的除法竖式练习,没事多练练#要开学了 #二年级 #二年级数学
图片尺寸1080x1440
小学二年级全竖式计算题列竖式口算题卡人教版教材同步练习题2年级小
图片尺寸800x800
苏教版二年级数学下没有余数的除法竖式计算 有余数的除法计算这一
图片尺寸960x1280
列竖式:有余数的除法
图片尺寸2448x3264
二年级下册有余数的除法竖式计算 列竖式的步骤:先写"厂"(除号),被
图片尺寸960x1280
二年级除法竖式doc
图片尺寸920x1302
二年级上册除法竖式计算标准练习题doc6页
图片尺寸792x1120
二年级上册除法竖式计算标准练习题doc6页
图片尺寸792x1120
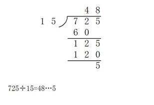
除法竖式除法竖式各部分名称
图片尺寸309x211
除法竖式运算
图片尺寸2000x2667
除法竖式运算
图片尺寸2000x2667
列竖式:有余数的除法
图片尺寸1999x2666
除法竖式运算
图片尺寸2667x2000