非线性结构

线性结构与非线性结构
图片尺寸1142x727
请教一下关于什么是线性结构,什么是非线性结构?
图片尺寸600x396
线性结构与非线性结构
图片尺寸1142x833
非线性结构材料模块更新
图片尺寸1920x1080
【abaqus】线性&非线性屈曲分析_abaqus_结构基础_静力学_建筑-仿真秀
图片尺寸610x288
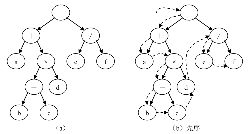
树——非线性结构
图片尺寸851x461
妙!非线性构图拍建筑
图片尺寸555x370
什么是线性结构,什么是非线性结构?
图片尺寸801x321
非线性的叙事是什么意思
图片尺寸600x278
非线性数据结构树
图片尺寸731x688
福建物构所无金属紫外非线性光学晶体研究获进展
图片尺寸600x338
的快速结构分析求解器,能够求解静态和动态载荷下的线性和非线性问题
图片尺寸535x500
作品集中交互叙事最大特点非线性
图片尺寸1080x1245
一种考虑非线性影响的充气式再入飞行器结构动力学分析方法和系统与
图片尺寸998x1000
一线工程师总结ansys workbench工程应用之——结构非线性(上):几何非
图片尺寸852x580
什么是几何非线性?
图片尺寸696x427
cn103194799a_红外非线性光学单晶体硫镓锡有效
图片尺寸1000x717
在日常生活中,经常会遇到结构非线性问题.
图片尺寸599x461
一线工程师总结ansys workbench工程应用之——结构非线性(上):几何非
图片尺寸793x490
92线性结构与非线性结构,一篇总结到位73 93 在数据的世界里
图片尺寸960x1280