鞘磷脂

鞘磷脂
图片尺寸1080x810
鞘 氨 醇 磷脂酰乙醇胺 磷脂酰丝氨酸 磷脂酰胆碱 鞘磷脂
图片尺寸1080x810
2,鞘磷脂 , 鞘 磷 脂 sphingomyelin sm 以 鞘 胺 醇
图片尺寸1080x810
鞘磷脂
图片尺寸600x600
鞘磷脂
图片尺寸500x500
dha,胆碱,叶黄素,神经鞘磷脂的强强联合,共同促进神经连接形成,支持
图片尺寸621x323
鞘磷脂,药用辅料对照品(25mg)
图片尺寸320x320
海外直订sphingolipids 鞘磷脂
图片尺寸800x800
鞘磷脂
图片尺寸434x253
鞘磷脂是无色晶体,在光的作用下或在空气中不易氧化,比较稳定,不溶于
图片尺寸489x167
脂类的概念和类别,组成与结构式ppt
图片尺寸1080x810
高等教育 农学 生物化学第十章脂类代谢ppt 化学化工学院 鞘磷脂结构
图片尺寸1080x810
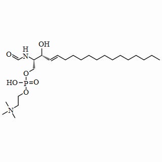
脂肪酸连接生成n脂酰 鞘氨醇(神经酰胺) h 与磷酸胆碱相连生成鞘磷脂
图片尺寸1080x810
首页 标签:"鞘磷脂"(共找到约2条相关新闻)
图片尺寸870x562
磷脂
图片尺寸350x354
惠氏(神经鞘磷脂) 支付宝ar红包线索图
图片尺寸600x421
神经鞘磷脂
图片尺寸640x376
与鞘磷脂通称鞘脂.
图片尺寸520x377
鞘磷脂鸡蛋鸡肉
图片尺寸490x449
神经鞘磷脂
图片尺寸300x231