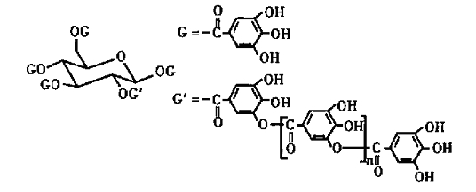
鞣酸

鞣酸
图片尺寸430x389
鞣酸蛋白片(单那尔滨)
图片尺寸800x800
鞣酸 (医药)
图片尺寸536x217
鞣酸
图片尺寸750x750
1晚治好红屁屁华西二院鞣酸软膏
图片尺寸1080x810
普洱茶中的鞣酸(即茶单宁)
图片尺寸600x624
宝宝红屁股|同济制药鞣酸软膏专治红屁股
图片尺寸1080x1080
百灵鸟 鞣酸苦参碱胶囊 0.3g*24粒 1盒
图片尺寸800x800
诃子林鞣酸
图片尺寸605x375
鞣酸单宁五倍子单宁酸
图片尺寸310x277
鞣酸蛋白片
图片尺寸320x320
鞣酸是什么
图片尺寸768x472
鞣酸软膏
图片尺寸1078x1438
鞣酸有什么用途
图片尺寸668x438
单宁酸 现货批发食品级 工业级单宁酸 鞣酸质优价廉 量大从优
图片尺寸800x800
同济医院鞣酸软膏专治宝宝红屁屁
图片尺寸1080x1439
祥云 鞣酸蛋白片 0.3克×80片6038
图片尺寸800x800
鞣酸抑菌软膏是真的管用吗代理商零售商
图片尺寸800x800
广州现货供应:工业级单宁酸 又称:鞣酸
图片尺寸1080x1080
鞣酸苦参碱胶囊(安场)
图片尺寸1000x1000