高中数学解答

高中数学试题解答
图片尺寸920x1302
高中数学:解析几何解答题专项训练!全面解答!学霸都在看!
图片尺寸640x842
暑期复习—高中数学解答题的解题策略整理,人手一份转给孩子
图片尺寸640x751
一道高中数学题,请手写解答过程!
图片尺寸873x1552
高中数学圆锥曲线与方程解答题大汇总!赶紧做起来!
图片尺寸1080x1527
高中数学,28,29题,求解题过程,三刻思!
图片尺寸780x1040
2020年广西柳州高级中学高三2月考数学理试题答案解析
图片尺寸1000x1484
高中数学解答题攻略!从公 - 抖音
图片尺寸1417x1890
高中数学立体几何解答题17大题型例题变式选真题附word
图片尺寸640x1094
高中数学立体几何解答题17大题型例题变式选真题附word
图片尺寸640x1097
高中数学导学48解答题一条计算数值问题
图片尺寸2048x1152
请教高中数学问题,求高手解答,要有详细步骤哦
图片尺寸609x480
求大神解答高一数学题
图片尺寸2592x1944
请教高中数学问题,求高手解答,要有详细步骤哦
图片尺寸810x636
高中数学题.求详细 解答.谢谢!给好评
图片尺寸3264x1840
高中数学:经典例题(超详细)解题步骤,高中都用得上的提分集锦
图片尺寸589x767
2019年全国高中数学联赛a卷一试解答
图片尺寸1214x1795
高中数学解答
图片尺寸450x334
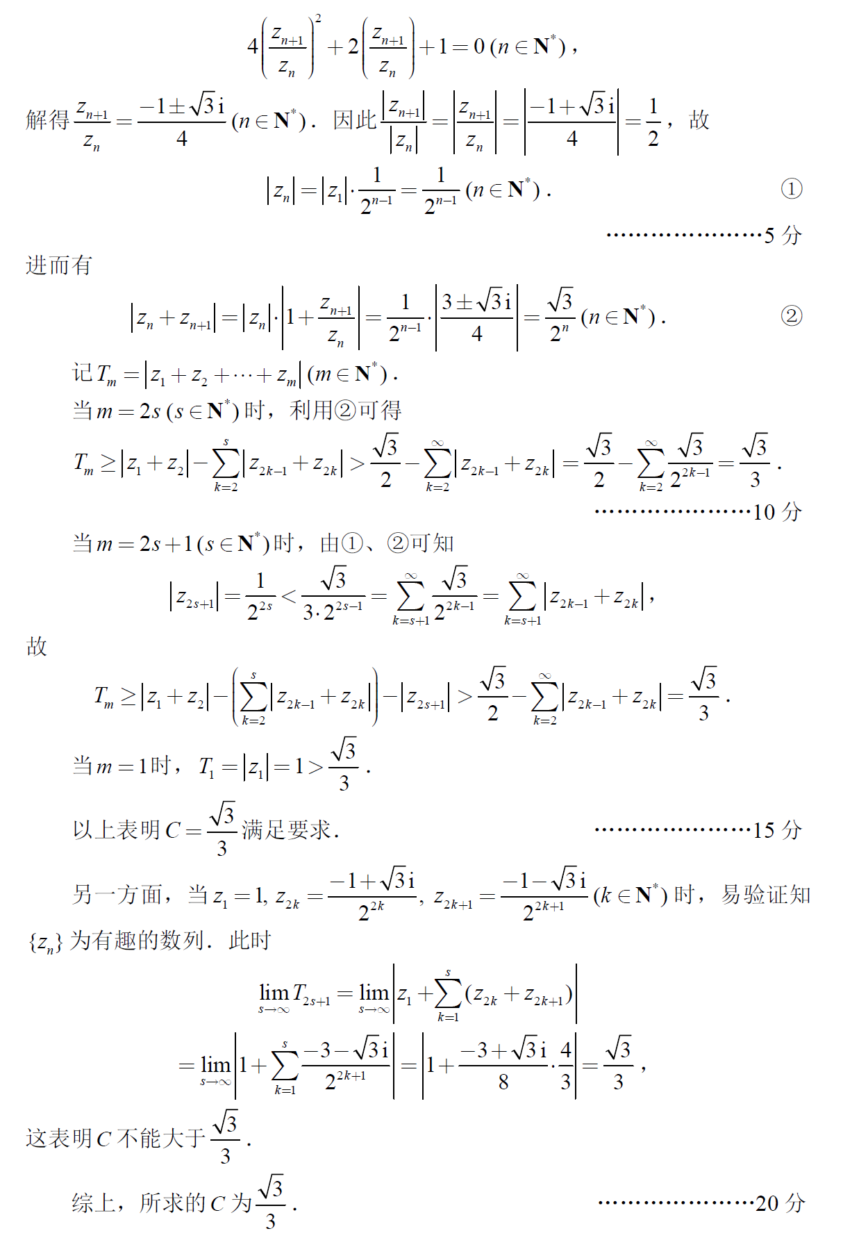
高中数学:高考数列解答题汇编附答案解析,赶紧卷起来吧#高中数 - 抖音
图片尺寸1170x1676
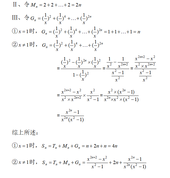
高中数学数列求和经典题型解答
图片尺寸660x689