高中虚数i的运算公式

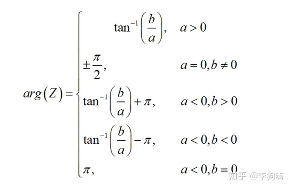
高中虚数i的运算公式
图片尺寸600x400
求公式关于虚数的
图片尺寸647x289
虚数图册_360百科
图片尺寸257x375
高中数学虚数i的运算公式(虚数i计算公式及解题技巧) - 长城号
图片尺寸342x320
高中虚数i的运算公式
图片尺寸640x371
虚数i的运算公式有哪些?
图片尺寸640x256
高中数学虚数i的运算公式(虚数i计算公式及解题技巧) - 长城号
图片尺寸372x472
i 是虚数,求这个式子.
图片尺寸724x579
为什么虚数单位i没有分数次方(如1/2)
图片尺寸512x800
高中数学虚数i的运算公式(虚数i计算公式及解题技巧) - 长城号
图片尺寸325x389
设复数z满足(3 z)(2-i)=1 2i(i为虚数单位),则|z|的值为
图片尺寸394x697
虚数单位i (1)它的平方等于,即; (2)实数可以与它进行四则运算,进行四
图片尺寸496x702
已知复数z=1/2-√3/2i(i为虚数单位)满足az2 bz 1=0(a,b∈r),则ab=
图片尺寸907x907
高中数学虚数i的运算公式(虚数i计算公式及解题技巧) - 长城号
图片尺寸312x237
高中虚数i的运算公式
图片尺寸600x300
高中虚数i的运算公式
图片尺寸600x300
中虚数怎么表示_虚数i真的很"虚"吗?
图片尺寸600x387
java中虚数咋表示,虚数的定义(高中虚数i的运算公式举例)
图片尺寸620x308
i是虚数单位,i的平方=-1
图片尺寸678x285
从虚妄到真实—虚数的 200 年升级史,欧拉高斯都曾为其添砖加瓦
图片尺寸640x506