鲍林式

2.2《来自煤和石油的两种基本化工原料》课件(新人教版必修2)ppt
图片尺寸1080x810
鲍林式
图片尺寸1080x810
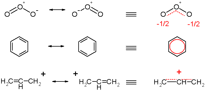
1931年,美国化学家莱纳斯·鲍林(linus pauling)提出,苯具有单一结构
图片尺寸640x360
鲍林设想的dna三螺旋结构.
图片尺寸321x599
鲍林的巨著《化学键的本质》对于化学科学的发展有什么重大意义?
图片尺寸585x428
1994年伟大的化学家鲍林(linus pauling)教授谢世时,留给后人很多谜团
图片尺寸297x288
用苯分子结构平面正六边形私章盖章苯环小圆章印 鲍林式-苯环(印油
图片尺寸350x350
如苯分子是由下列式子参加共振的: 共振论是鲍林(pauling)在免费文档
图片尺寸1080x810
除了以上贡献,还需要指出的是,鲍林是"共振论"的创始人.
图片尺寸518x320
他既是科学家又是和平斗士,两次获诺贝尔奖,曾被限制出国|鲍林_网易
图片尺寸550x416
pauling 1901-1994 鲍林研究电负性 的手搞
图片尺寸1080x810
如下甲图为鲍林小组在dna分子结构的螺旋竞赛中提出的dna三股螺旋模型
图片尺寸885x437
去看构造原理图,或者是鲍林近似能
图片尺寸800x519
p>共振论(resonance theory),是由美国化学家鲍林(linus pauling)所
图片尺寸699x314
鲍林(pauling)规则 3rd rule:多面体规则 the sharing of edges, and
图片尺寸1080x810
鲍林式和凯库勒式
图片尺寸221x154
结构式: 1931年,鲍林
图片尺寸1080x810
鲍林格(lee c. bollinger),美国律师和教育家.
图片尺寸300x433
从鲍林反核看科学家的责任
图片尺寸200x307
高二化学分子的空间构型
图片尺寸180x157