007802

this is not available 007802
图片尺寸307x400
b7l发抖,难打火,更换高压油泵
图片尺寸700x933
公司货号:gb007802 儿童仿真拳击手套 价格: 会员才能查看
图片尺寸800x600
【speedmaster】om自主研发自制9900机芯(价格-报价-图片)货号:007802
图片尺寸1000x750
【speedmaster】om自主研发自制9900机芯(价格-报价-图片)货号:007802
图片尺寸1000x750
贺伯特
图片尺寸1000x737
潜邱札记卷二007802
图片尺寸460x620
【speedmaster】om自主研发自制9900机芯(价格-报价-图片)货号:007802
图片尺寸1000x750
潜邱札记卷二007802
图片尺寸626x628
【speedmaster】om自主研发自制9900机芯(价格-报价-图片)货号:007802
图片尺寸1000x750
macs-007802-0m1r1v图片预览
图片尺寸600x776
【speedmaster】om自主研发自制9900机芯(价格-报价-图片)货号:007802
图片尺寸1000x750
cosey ws007802 hot sale back swivel leather computer gaming
图片尺寸800x800
b4ace3abb007802cfe343d2d9f34b8a
图片尺寸500x888
迪士尼 【唯品专供】女款环绕式镶钻珠贝母盘手表av007802ab_唯品会
图片尺寸383x483
1. 对于a类份额(007802)
图片尺寸885x335
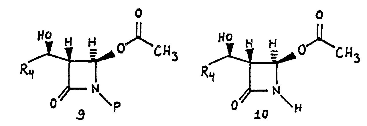
专利ep0078026b1 - antibiotic synthesis - google 专利
图片尺寸1282x443
迹忆镂空纯色围脖ys007802_唯品会
图片尺寸1100x1390
兴全合泰混合a(of007802)股吧_东方财富网股吧
图片尺寸406x596
妞快忱抑 lacoste lacoste spm007802ht
图片尺寸948x1050