1548

得力1548a计算器(白色)(台)
图片尺寸1200x1200
得力计算机1548a
图片尺寸400x400
得力1548a 彩色太阳能计算 商务办公超薄学生计算机
图片尺寸750x462
tlv1544c, tlv1544i, tlv1548c, tlv1548i, tlv1548m
图片尺寸918x1188
得力(deli)1548a商务办公桌面计算器 太阳能双电源办公用品 财务用品
图片尺寸750x1080
得力1548a彩色太阳能计算器商务办公可爱学生计算机
图片尺寸500x477
进口笔皇escoda水彩笔丙烯笔合成貂毛短杆圆尖锋旅行画笔1548笔套
图片尺寸800x800
2015新款1548太阳镜 防紫外线安全驾驶墨镜 潮品太阳眼镜批发
图片尺寸1024x682
1548绿色森系婚礼庆典迎宾签到舞台背景喷绘矢量图设计psd源素材
图片尺寸800x800
得力1548a 彩色太阳能计算 商务办公超薄学生计算机
图片尺寸750x446
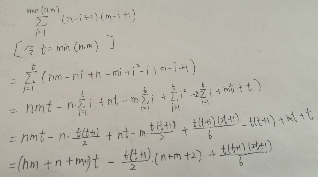
p1548棋盘问题
图片尺寸1067x596
1. 王者代打(巅峰1548 - 抖音
图片尺寸720x1247
这妹妹漂亮,声音也甜美 1548
图片尺寸640x466
【9.5新】 万宝龙u0101548自动机械男表 smh340
图片尺寸880x1193
2sb1548
图片尺寸826x1169
得力(deli) 1548a 办公/财务 计算器
图片尺寸304x540
20111026 dsc 1548
图片尺寸800x532
img_1548 | flickr – 相片分享!
图片尺寸640x480
1548 europe lituanie. grand duché.
图片尺寸738x369
adidas舒适透气 男款绿配白色短袖t恤aj1548_唯品会
图片尺寸1100x1390