173号元素

p>173(一百七十三)是 a target="_blank" href="/item/172/249975"
图片尺寸400x400
物理学,语言学界专家召开了113号,115号,117号,118号元素中文定名会
图片尺寸720x720
113号,115号,117号,118号元素中文名正式发布
图片尺寸624x666
130号元素有多恐怖没有该元素只到118号元素
图片尺寸602x406
时尚商业洞察|大单品逻辑逐渐失效,品牌如何再度突围?
图片尺寸884x286
114号元素怎么读
图片尺寸700x400
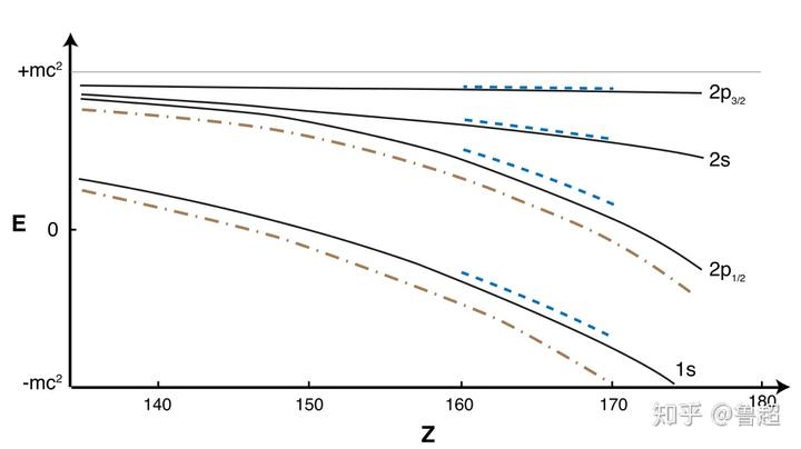
有人认为z>173的元素不会存在,其实不然.720_404
图片尺寸720x404
cn意思是:鎶鎶是第112号化学元素,于1996年被合成出来,被正式命名为"
图片尺寸500x500
如图为元素周期表的一部分,请认真阅读后,回答下列问题
图片尺寸379x173
元素周期表的二号元素是什么(百科 | 第一个在地球以外发现的元素
图片尺寸1080x608
包伯·拉札与115号元素
图片尺寸883x836
「榕哥烙科」元素周期表:宇宙的炼金术
图片尺寸425x461
excel版的元素周期表periodic-table,超强大
图片尺寸1881x1329
铋是一种稀有金属,英文名:bismuth ,化学符号bi,原子序数83,原子量
图片尺寸712x712
元素周期表是学习化学和研究化学的重要工具,如图是元素周期表的一
图片尺寸355x173
元素周期表有尽头为什么说173号元素的发现会使得相对论崩塌
图片尺寸640x360
119号元素地球上的下一个新生
图片尺寸550x466
元素周期律和周期表是学习化学的主要工具.
图片尺寸468x173
115号元素的一些性质
图片尺寸490x313
scp-1739 - obsolete laptop
图片尺寸1000x1400