2二甲基戊烷构造式

当您的孩子把"2,3
图片尺寸640x983
当您的孩子把"2,3
图片尺寸640x1028
当您的孩子把"2,3
图片尺寸640x939
2-甲基戊烷,分子式为c6h14,为无色透明液体
图片尺寸1230x1094
2,4-二甲基戊烷
图片尺寸233x227
2,4-二甲基戊烷,是一种有机化合物,化学式为c7h16
图片尺寸608x405
当您的孩子把"2,3
图片尺寸640x1016
当您的孩子把"2,3
图片尺寸640x1035
异戊烷(isopentane,2-methylbutane)又称2-甲基丁烷,化学式为c图片尺寸1345x1009

四甲基戊烷,是一种有机化合物,化学式为c9h<
图片尺寸630x430
1,3-二甲基丁胺,又名2-氨基-4-甲基戊烷,是一种有机化合物,化学式
图片尺寸687x458
二甲氧基-2-甲基戊烷>分子结构:分子式:c8h18o2cas
图片尺寸300x300
图片尺寸800x800
二甲基己烷,分子式为c8h18,是一种不溶
图片尺寸1020x908
4, 问题:写出符合以下条件的含6个碳的烷烃的结构式:a
图片尺寸809x628
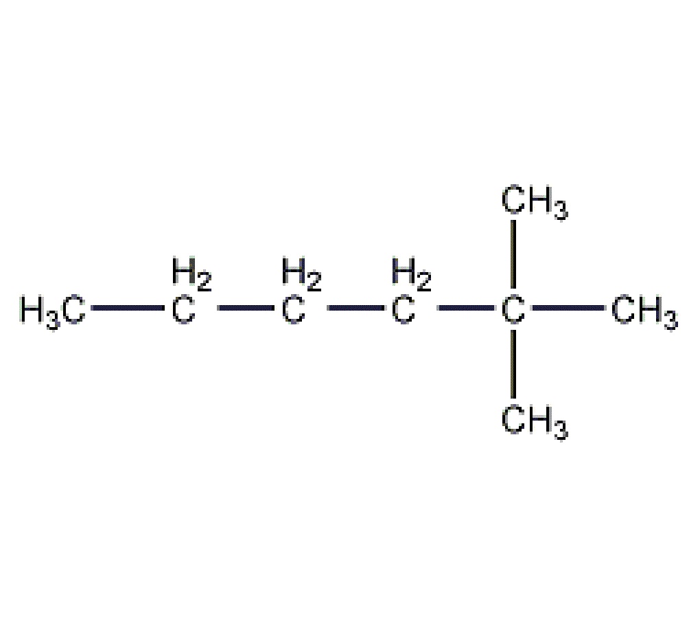
2,3-二甲基戊烷是一种有机物,化学式是c7h16
图片尺寸1024x900
2,4-二甲基-2-戊醇是一种有机化合物,分子式
图片尺寸641x421
,是一种有机化合物,化学式为c19h14<
图片尺寸940x652
2-甲基-2-丁醇
图片尺寸537x357
图片尺寸1152x516