2x的导数

高中数学为什么y等于2x的导数是2而不是前导乘后后x 2 是因为这是一个
图片尺寸765x1024
x的2x次方的导数是多少
图片尺寸612x816
求y=2x/(x∧2 1)的导数 请写下用到的公式谢谢
图片尺寸744x992
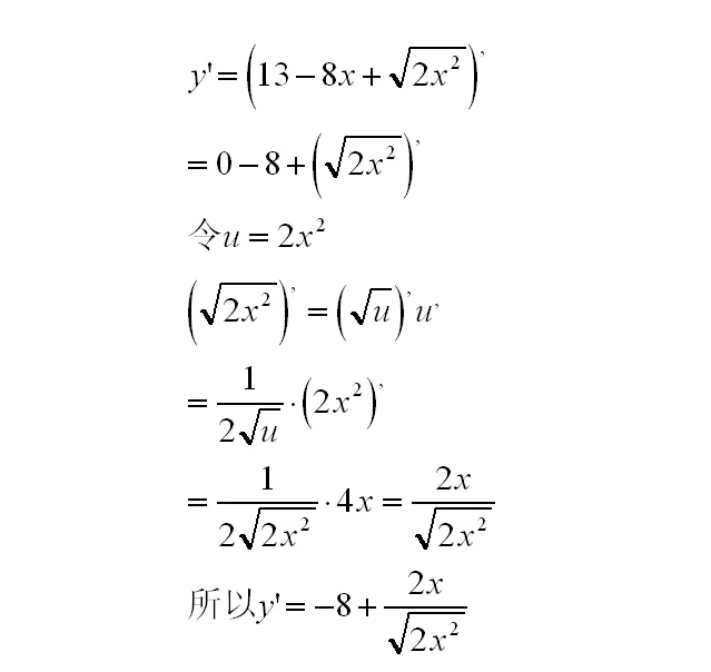
根号下2x的导数怎么求
图片尺寸639x604
求由隐函数sin(x y)-e^2x=lny所确定的函数的导数dy/dx
图片尺寸538x349
3复合函数,商的导数,指数,对数的导数ppt
图片尺寸1080x810
导数你们学了没,这个是复合函数的导数
图片尺寸640x384
妙心独运|来自:手机知道|八级 y=1/(2x-1) *(2x-1)的导数=2/(2x-1)
图片尺寸534x260
求y=cos(^2)x的n阶导数
图片尺寸612x816
什么的导数是1-sin^ 2x_百度教育
图片尺寸553x575
y=log以2为底(x^2-x 1)的导数,求过程
图片尺寸768x1024
求y=2x/(x∧2 1)的导数 请写下用到的公式谢谢
图片尺寸744x992
求y=2x/(x-1)^2的二阶导数,具体点
图片尺寸1350x742
求y=(x^2)cos2x的n阶导数
图片尺寸1512x2986
fxsin2xπ3的导数是什么
图片尺寸600x477
csc2x的导数是什么
图片尺寸2158x883
y=xe∧2x 的二阶导数
图片尺寸450x600
高等数学公式1导数公式:(tgx)8988sec2x(ctgx)898882csc2x
图片尺寸500x375
常见导数公式
图片尺寸1080x810
求导数练习题
图片尺寸1080x810