3-环己烯腈结构式

24932 备注: 结构式: 联系方法contact us 联系人: 李星,陈盼 地 址
图片尺寸400x400
3-甲基-1-环己烯 591-48-0
图片尺寸800x800
ch3 ch3 c ch ch3 ch3 ch3 1,6-二甲基(-1-)环己烯 2,2,3-三甲基
图片尺寸1080x810
1,2-二氯八氟环己烯;1,2-dichlorooctafluorocyclohexene (cas 336-19
图片尺寸283x227
4-(4,4,5,5-四甲基-1,3,2-二氧杂戊 硼 烷-2-基)-3-环己烯甲腈 cas号
图片尺寸291x291
小时前 最佳答案 (1s,2r)-1-氯-2-甲基环己烷,丙烯醛, 3-甲基环己烯
图片尺寸791x441
这个结构式的命名怎么写啊!求各位大神解救
图片尺寸780x1052
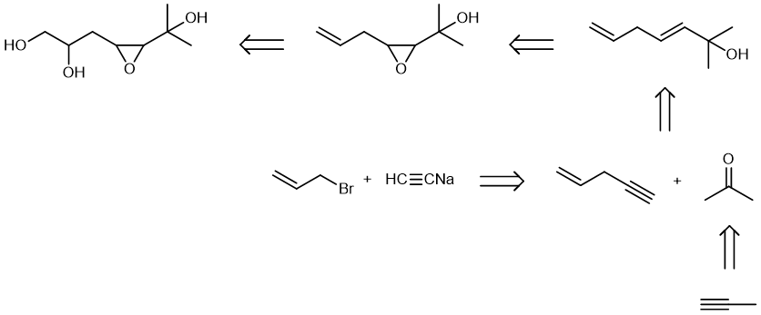
加成,剩下的就是水到渠成了(那个2-甲基-1, 3-丁二烯给了两种合成方法
图片尺寸836x347
双烯合成 如1
图片尺寸644x239
完成反应 . 什么是nbs
图片尺寸640x360
1,5-二甲基-3-环己烯-1-甲腈结构式_24054-25-9结构式
图片尺寸300x300
3-氯环己烯结构式
图片尺寸605x375
今天 08:34 提问者采纳 环戊烯有5个碳原子,根据其与碳碳双键的位置
图片尺寸450x377
3-环己烯-1-羧酸乙酯结构式
图片尺寸115x207
53293-00-8结构式下游产品3-甲氧基-2-环己烯-1-酮5-氧代己酸packin
图片尺寸348x180
通过核磁共振nmr调整蛋白质的x衍射,确定微晶材料的排列方式
图片尺寸576x539
环己烯
图片尺寸395x195
3-环己烯-1-羧酸 2-乙基己基酯3-环己烯-1-羧酸 2-乙基己基酯;3-环己
图片尺寸400x400
(s)-(-)-3-环己烯甲酸|(s)-(-)-3-cyclohexene-1-carboxylic acid
图片尺寸614x334
2435二甲基3环己烯基甲腈
图片尺寸526x253