Bowsettexpeach

ulx wireless system
图片尺寸600x371
肠道健康多亏了介个益生菌软糖
图片尺寸1080x1439
make each day your masterpiece!
图片尺寸1080x1080
每家都有beautiful
图片尺寸1080x1107
微醺日记沙拉之河霞多丽干白葡萄酒00
图片尺寸1012x1349
哇塞古茗太少女了
图片尺寸1080x1439
宠物餐垫
图片尺寸981x981
2,000kg with several steel strips, two tags on each bundle
图片尺寸1024x768
仙女聚会快乐加倍 98 :光明之雪
图片尺寸1080x1440
mp3支持设备windows10win2017win20xp这7本单本是《hattie and the
图片尺寸640x441
无限金币版下载_建筑模拟器2014安卓汉化内购破解版下载-xp71游戏下载
图片尺寸680x409
earn experience points (xp) to level up and unlock exciting eww
图片尺寸520x293
0,windows 95,windows 98,windows xp,windows vista,windows 7
图片尺寸1201x687
飞天黄鼠狼 游戏下载_飞天黄鼠狼 app下载_飞天黄鼠狼 官方下载-xp71
图片尺寸533x320
advent calendar day 2 – m46 patton kr
图片尺寸1920x1080
two p 2p peaks are observed one each at 132.
图片尺寸1206x991
dasiquexpeach超甜联名系列
图片尺寸1080x1080
com/en/news/warchests-v-8 each monster chest contains a
图片尺寸1024x751
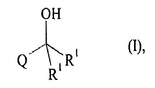
process for the production of tertiary alcohols
图片尺寸496x283
阳炎计划(●°u°●) 」
图片尺寸1000x1416