HATU

p>hatu,是一种常用的 a href="#" data-lemmaid="1511295">多肽 /a>
图片尺寸1678x1080
今日产品推荐:hatu 中文名称:hatu 中文同义词:n, - 抖音
图片尺寸1080x1920
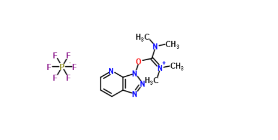
hatu的结构你真的知道吗脲盐型还是胍盐型缩合机理是怎样的
图片尺寸1080x489
hatu作为缩合剂的酰胺化反应中的副产物
图片尺寸1080x422
哈兔
图片尺寸1032x498
com/s/1qwshatu 密码: 3xvv 如何使用面补请看这里
图片尺寸1360x768
阿拉伯语
图片尺寸450x288
初音未来logic paint 公式化技巧(hatsune miku logic paint s)
图片尺寸1728x1080
我之所以把自己吃的这么圆,就是不让别人看扁,夜长未必梦多,但 - 抖音
图片尺寸811x1079
cas号148893-10-1_hatu_参考用途_medbio
图片尺寸552x279
收集 点赞 评论 被魔女养大的孩子 0 13 怀挺hatu 发布到 短漫
图片尺寸400x804
嘻哈兔 商标公告
图片尺寸611x328
暗影播放器莫扎兔影视mozhatucom4k独家专线勿错过
图片尺寸950x567
当地妇女-hatumrumiyoc 印加墙-库斯科-秘鲁
图片尺寸682x1023
o2nd hatu striped knit dress
图片尺寸336x596
o2nd hatu crewneck dress
图片尺寸1080x1440
随ta去
图片尺寸800x800
hatu的结构你真的知道吗脲盐型还是胍盐型缩合机理是怎样的
图片尺寸892x594
上海全明星09
图片尺寸800x534
初音未来
图片尺寸794x1132