L型氨基酸

自然科学 化学 20种氨基酸化学结构式 八种人体必需氨基酸:甲硫氨酸
图片尺寸360x360
l-精氨酸是一种左旋结构的氨基酸物质,在人体中有着重要的生理活性
图片尺寸971x617
氨基酸的呈味特性造就了食物的鲜美味道
图片尺寸594x284
l型氨基酸和d型氨基酸有什么区别
图片尺寸2670x1280
5.2 氨基酸的物理化学性质
图片尺寸1079x296
什么是l-α氨基酸?
图片尺寸1359x516
52904l半胱氨酸lcysteine技术参数上海现货创赛优选
图片尺寸2895x2405
上普 铁锌无糖型氨基酸口服液250ml/瓶*4瓶 l 一盒
图片尺寸800x800
l-天门冬氨酸_氨基酸&多肽&蛋白质_生化试剂_索莱宝-专业生化试剂网上
图片尺寸600x600
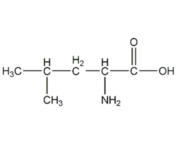
" data-lemmaid="4150020">亮氨酸 /a>(l-leucine)属必需氨基酸,化学
图片尺寸612x500
l正亮氨酸
图片尺寸484x300
用于生化研究,降低血氨,治疗肝昏迷药,亦可用于氨基酸类药,是氨基酸
图片尺寸1250x1095
海南大学,生物化学,朱靖杰,课件 组成蛋白质的氨基酸都为 l型(除gly外
图片尺寸1080x810
氨基酸
图片尺寸500x195
韩国deasang推出l组氨酸在韩属首次推出高附加值氨基酸产品
图片尺寸1536x2048
l-茶氨酸
图片尺寸742x459
【科学辟谣】隼鸟2号带回来的样本中发现氨基酸,这意味着发现外星生命
图片尺寸554x376
【产品供应】l-正亮氨酸
图片尺寸1240x1754
l-glutamine是标准遗传密码所编码的20种氨基酸之一.
图片尺寸600x400
l-cysteine
图片尺寸598x452