N-S图

n-s流程图ppt
图片尺寸1080x810
n-s图的简单使用
图片尺寸412x402
1.3.3 n-s图描述 图1.6 n-s图表示三种基本结构
图片尺寸1080x810
求画c语言n-s图,很简单的几个,养了点财富值都给了.谢谢
图片尺寸605x432
9流程&n-s图 day3
图片尺寸857x540
用n-s图表示第4题中各题的算法
图片尺寸482x436
借鉴n-s图
图片尺寸2911x1941
n-s图和pdl
图片尺寸655x572
n-s图
图片尺寸268x245
c语言,n-s流程图和传统流程图的转换问题
图片尺寸567x460
s-n曲线
图片尺寸764x434
s~n曲线
图片尺寸1004x533
n-s 图
图片尺寸600x399
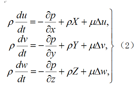
n-s方程
图片尺寸446x303
用n-s图表示第4题中各题的算法
图片尺寸730x529
【软件测试】白盒测试のn-s图
图片尺寸431x396
用n-s图表示第4题中各题的算法
图片尺寸619x551
将伪码转换为流程图,n-s图,图
图片尺寸650x396
用n-s图表示第4题中各题的算法
图片尺寸527x394
7.9流程&n-s图 day3
图片尺寸863x489