Relu激活函数

常用隐层激活函数
图片尺寸625x464
激活层主要对卷积层的输出进行一个非线性映射,在cnn中一般为relu函数
图片尺寸1305x905
relu激活函数
图片尺寸3000x2000
relu 激活函数:relu 导数:从上图可以看到,relu 是从底部开始半修正的
图片尺寸396x252
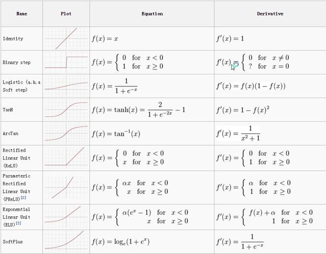
常见的激活函数(activation function)总结
图片尺寸655x448
为什么要用relu激活函数,而不用sigmoid激活函数?
图片尺寸1139x971
然后通过 relu 激活函数进行dropout(更好的拟合数据)
图片尺寸527x388
1. relu作为激活函数
图片尺寸586x299
机器学习(6)——激活函数
图片尺寸668x493
sigmoid,tanh,relu,leaky relu激活函数的python绘制 及图文格式
图片尺寸1212x757
relu函数激活函数解析sigmoidtanhsoftmaxreluleakyrelu
图片尺寸640x499
1. relu作为激活函数
图片尺寸584x225
3,relu函数,是目前最受欢迎的激活函数.
图片尺寸626x442
激活函数(relu, swish, maxout)
图片尺寸1196x689
重新思考计算机视觉中常用的激活函数relu
图片尺寸1244x928
3. relu激活函数
图片尺寸600x338
5 激活函数(activation functions)
图片尺寸500x323
relu6是在relu激活函数的基础上将大于6的数据部分置为0,以进一步提高
图片尺寸1575x904
一文带你深度了解relu激活函数!
图片尺寸1280x960
leaky relu 函数
图片尺寸475x313