SCCP

上海汽车地毯总厂有限公司
图片尺寸886x490
sccp详解 - 知乎
图片尺寸628x474
sccp词条图册_百度百科
图片尺寸554x313
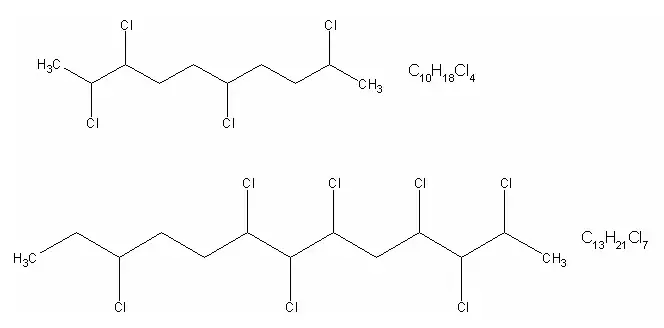
信测小课堂当心超标对人体有危害的短链氯化石蜡sccp你了解吗
图片尺寸664x328
sccp短链氯化石蜡检测 欧盟reach高度关注物质清单检测
图片尺寸436x216
最近几年随着全球针对短链氯化石蜡(sccps)的管控日益加严,不少生产
图片尺寸3543x2616
sccp 短链氯化石蜡 测试,质检报告办理
图片尺寸500x500
婺城区电视盒sccp报告印度bis办理后测试不过怎么办
图片尺寸1139x884
sccp供应链协同业务流程介绍v10.ppt
图片尺寸1152x864
中国sccps和mccps在产品中的分布,排放与环境归趋
图片尺寸890x376
sccp-供应链协同平台
图片尺寸1306x670
秒表上亚马逊要reach吗
图片尺寸2182x3000
cato小百科:这些产品,当心氯化石蜡超标_手机搜狐网
图片尺寸728x314
电力系统短路电流计算程序(psd-sccp 2.6.2)
图片尺寸1384x559
7 信令的基本结构主要划分为消息传递部分(mtp),信号连接部分(sccp)
图片尺寸592x498
三篇新型pops氯化石蜡研究在环境国际权威期刊发表,分析技术竟然是它!
图片尺寸751x433
sccp供应链协同业务流程介绍v1.0ppt
图片尺寸1080x810
电力系统短路电流计算程序(psd-sccp 2.6.2)
图片尺寸1366x768
信测小课堂当心超标对人体有危害的短链氯化石蜡sccp你了解吗
图片尺寸654x282
检测认证有什么产品和项目
图片尺寸1077x1355