TBHP

叔丁基过氧化氢(tbhp)产品图片
图片尺寸300x300
过氧叔丁醇tbhp
图片尺寸1200x761
75-91-2 叔丁基过氧化氢 tbhp (85含量) 山东 - chemicalbook
图片尺寸1440x1080
常用氧化剂——过氧叔丁醇(tbhp)_反应_过氧化氢_化合物
图片尺寸1080x384
叔丁基过氧化氢(tbhp)
图片尺寸500x500
常用氧化剂——过氧叔丁醇(tbhp)涨姿势!
图片尺寸640x330
抗体药物表征研究及igg精准开锁工具ides蛋白酶在该研究中的应用
图片尺寸1061x847
抗体药物表征研究及igg精准开锁工具ides蛋白酶在该研究中的应用
图片尺寸1600x900
魔兽世界toc术士副本掉落装备掉落对比wa
图片尺寸849x607
workplace culture on mechanism of golden metallic cog gears.
图片尺寸1500x1020
抗体药物表征研究及igg精准开锁工具ides蛋白酶在该研究中的应用
图片尺寸1600x900
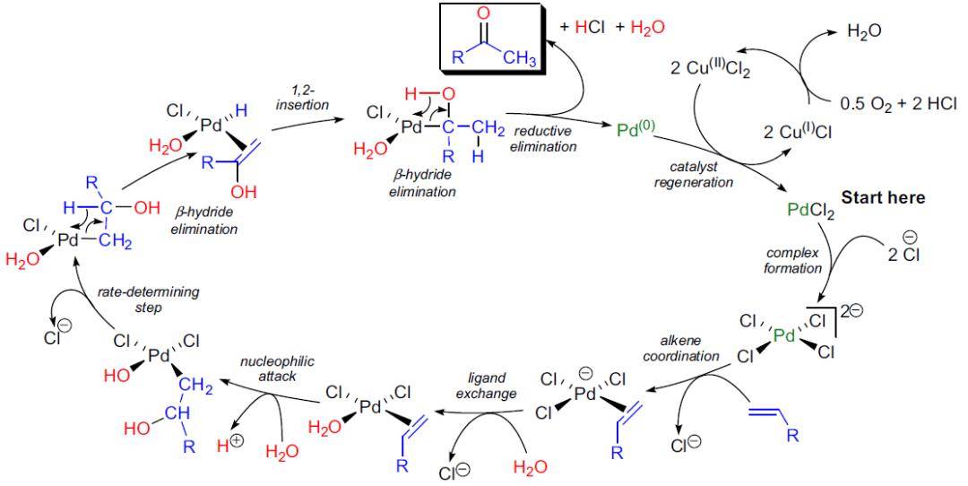
wacker氧化反应(烯烃氧化制备醛酮)
图片尺寸720x407
alcohols catalyzed by manganese in the presence of tbhp ( tert
图片尺寸416x244
江西师范大学刘云云和万结平课题组瞬态卤化导向的heck
图片尺寸1068x1164
氧化剂——过氧化氢异丙苯(chp)常用氧化剂——过氧叔丁醇(tbhp)涨
图片尺寸640x330
不对称催化环氧化研究进展
图片尺寸1948x568
havedeveloped a generali2-catalyzed and tbhp/ammonium-promoted
图片尺寸642x668
cellmeter64荧光法细胞内总活性氧活性检测kitorange荧光
图片尺寸831x353
带电木保持架轴承 6304tbhp53 深沟球轴承 6304tbh 摩托车轴承 6304
图片尺寸540x405
wacker氧化反应(烯烃氧化制备醛酮)
图片尺寸1080x542