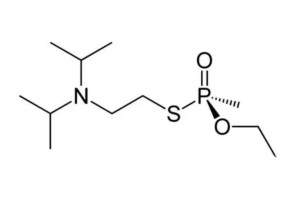
VX神经毒气

vx神经毒气
图片尺寸650x432
化学武器究竟有多毒看瞬间致死的vx神经毒剂组图
图片尺寸598x337
杀死金正男的vx神经毒剂到底是什么
图片尺寸640x535
美国销毁最后一批vx神经毒剂5百毫升可杀死几万人威力堪比核弹
图片尺寸640x480
美国军方的tum-28维埃克斯(vx)神经毒气弹
图片尺寸1023x702
vx神经毒气
图片尺寸247x300
vx神经毒气
图片尺寸300x202
vx神经毒气(vx神经毒气哪里购买)
图片尺寸300x288
vx的毒性比我们熟悉的沙林还要大,堪称最致命的神经性毒剂,没有之一.
图片尺寸640x511
美国销毁最后一批vx神经毒剂5百毫升可杀死几万人威力堪比核弹
图片尺寸640x360
发现死者面部和眼部均含有vx神经性毒剂
图片尺寸640x796
美国研究生化武器有多痴狂?全球设立366间实验室,曾以活体测试
图片尺寸2192x1087
三角洲部队监督以色列将神经毒气注入隧道_什么_神经性_国家
图片尺寸1280x1026
2018国际光学工程学会(spie)光学与光子学专题:可检测致命神经毒气的
图片尺寸500x320
对vx毒剂的防护与其他神经毒剂的防护相同,必须采取全身防护器材,包括
图片尺寸498x264
vx神经毒气是什么?vx毒剂到底有多致命?
图片尺寸301x169
台军用神经毒气弹瞄准大陆曝光这么重要机密队友无奈
图片尺寸1024x815
以色列计划在美军三角洲部队的协助下使用美国提供神经毒气淹没隧道
图片尺寸1280x853
vx神经性毒剂到底是个什么鬼?一小滴足以致命-搜狐
图片尺寸518x346
躲在暗处的vx神经毒剂实验
图片尺寸1280x1215