acetal resin

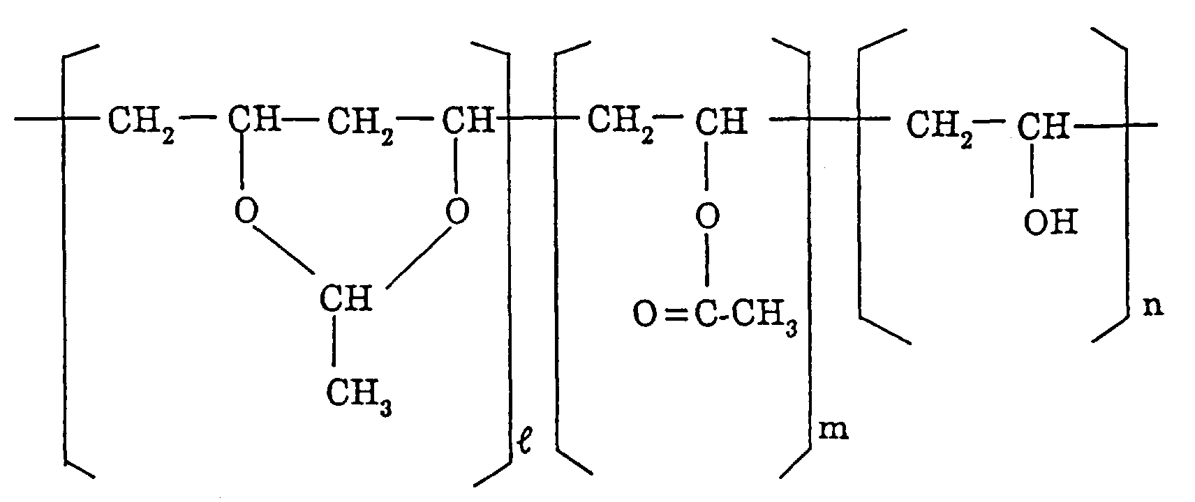
polyvinyl acetal-based resin
图片尺寸1217x626
polyvinyl acetal resin, electrophotographic photosensitive
图片尺寸1099x731
acetal resin compositions
图片尺寸1504x2568
acetal resin composition
图片尺寸1598x781
acetal resin composition
图片尺寸1646x742
acetal resin composition
图片尺寸1903x2797
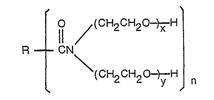
polyvinyl acetal resin, slurry composition prepared therefrom
图片尺寸780x366
process for producing a polyvinyl acetacetal resin
图片尺寸1712x720
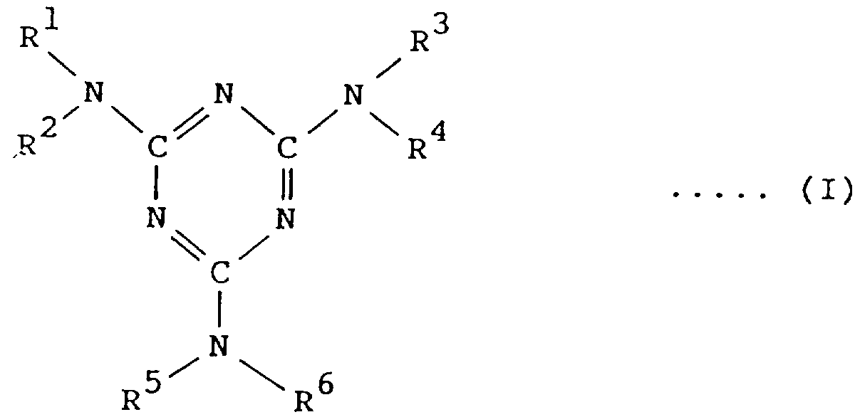
weather-resistant polyacetal resin composition
图片尺寸512x180
polyacetal resin composition
图片尺寸749x349
杜邦pom500cl注射成型耐高温
图片尺寸479x664
pom pellets factory price polyacetal resin white / black pom
图片尺寸800x800
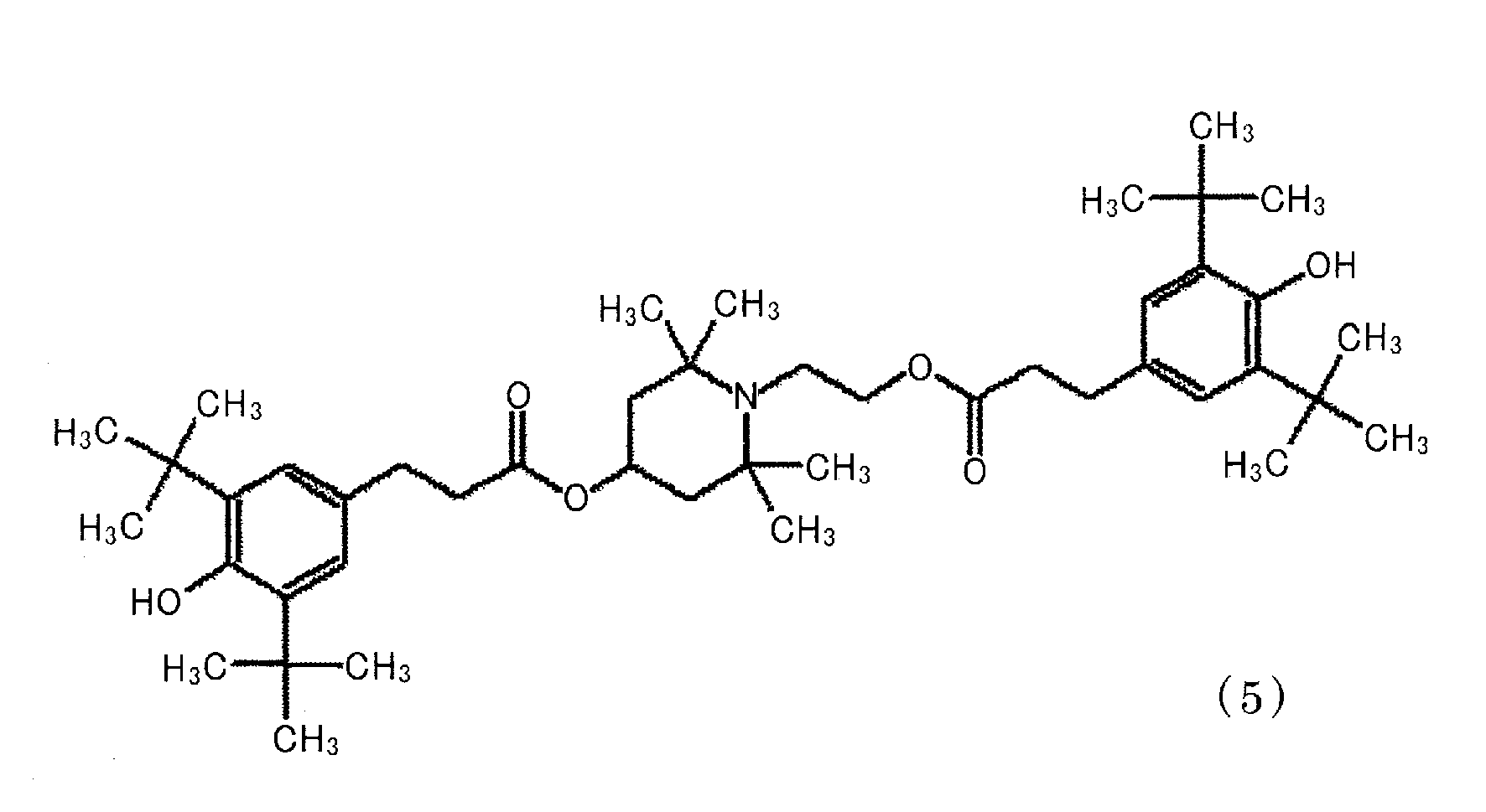
polyacetal resin composition having high-temperature stiffness
图片尺寸1200x586
low gloss polyacetal resin
图片尺寸2320x3408
crystallized resin de injection hebilla pom plastic_acetal
图片尺寸720x720
polyvinyl acetal resin for heat -developable photosensitive
图片尺寸2320x3408
polyvinyl acetal resin for heat-developable photosensitive
图片尺寸2320x3408
adjustable zamak and acetal resin hinge completely concealed
图片尺寸720x720
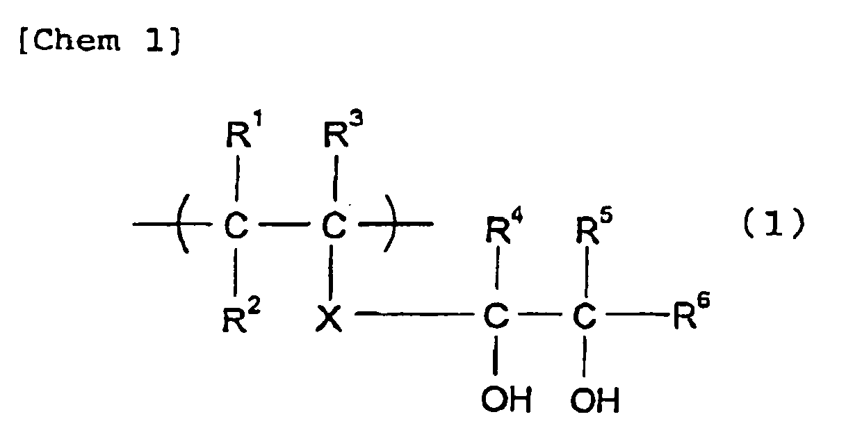
polyacetal resin composition, resin molded article, and method
图片尺寸1772x969
polyacetal resin compositions having improved resistance to
图片尺寸994x288