aibn

em>aibn /em> em>br /em>
图片尺寸393x289
aibn-initiated metal free amidation of aldehydes using
图片尺寸1960x1565
不可不知的化学试剂——偶氮二异丁腈(aibn)
图片尺寸550x265
以偶氮二异丁腈为引发剂
图片尺寸683x375
这是可以发的吗
图片尺寸1080x1439
aibn的特点与用途
图片尺寸327x267
分辨率图标
图片尺寸512x512
aibn-initiated metal free amidation of aldehydes using
图片尺寸1700x753
常用试剂----aibn
图片尺寸260x195
化学助剂 aibn azobisisobutyronitrile cas 78-64-1 用于 hdpe 的
图片尺寸300x300
百慕达】不可不知的自由基引发剂--偶氮二异丁腈(aibn)
图片尺寸565x218
偶氮二异丁腈 aibn 99%高纯 10
图片尺寸1920x1920
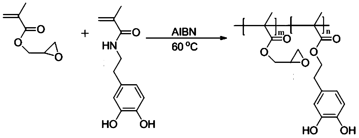
真空-氮气保护方式,在60℃条件下,通过aibn引发自由基聚合反应24h
图片尺寸1460x564
偶氮二异庚腈
图片尺寸268x161
蚂蜂窝与airbnb爱彼迎联手背后未知旅行实验室大ip是如何炼成的
图片尺寸1280x853![[nubel praiz] 核糖核酸 ribonucleic acid [raibnjukliik](https://imgs.wantubizhi.com/img/A1A61BAA66193547F3A6DD7D8EE527E96E0E65F9804613BB9DD40EC63577BC61CA86F6428D85F752EC086D41CAB427FAA9B78545BA77F47C2FF563E103908FED455CCA26542389DE99DB26B904B69F1B00A6DBD7DEA0D753D85D03BDFD3D31B2)
[nubel praiz] 核糖核酸 ribonucleic acid [raibnjukliik
图片尺寸600x267
2,2,—偶氮二异丁腈
图片尺寸268x173
pickering乳液的发展趋势颗粒形态及其应用
图片尺寸1773x976
百慕达】不可不知的自由基引发剂--偶氮二异丁腈(aibn)
图片尺寸890x399
百慕达】不可不知的自由基引发剂--偶氮二异丁腈(aibn)
图片尺寸1061x986