arcsinx1

(1/arcsinx)请写出求导过程
图片尺寸600x517
习惯上用x表示自变量,用y表示函数,所以反正弦函数写成y=arcsinx.
图片尺寸220x200
反函数关于y=x对称 反正弦函数arcsinx(sin^-1x)-----sinx在主值区间
图片尺寸1081x887
反三角函数其他公式 cos(arcsinx)=√(1-x^2)arcsin(-x)=-arcsinx
图片尺寸500x910
反三角函数的求导公式 反正弦的求导:(arcsinx)=1/√(1-x^2) 反余弦
图片尺寸500x762
sinx反函数(arcsinx)如上图:sin x 不是单调函数,所以它
图片尺寸733x552
sinx反函数(arcsinx)如上图:sin x 不是单调函数,所以它
图片尺寸586x461
反三角函数的定义域和值域:(1)反正弦函数:y=arcsinx 角的范围[-π/2
图片尺寸500x445
余角关系公式arcsin(x) arccos(x)=π/2arctan(x) arccot(x)=π/2arc
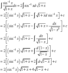
图片尺寸567x412![[arcsinx/开根(1 x)]dx](https://imgs.wantubizhi.com/img/735A5D1F980B52A636CC46F12F2D1A738DBA9DA7C0E45A4F1E6E49B7E51CF12B58D0E313709FDED81FA86890A2E24667870A534BCF6859A3A9D18060E61D45542FBC273ECC34A374BD5FEFC0FB9964C6CA41120F37A9F493FB134575C89DC834)
[arcsinx/开根(1 x)]dx
图片尺寸284x302
y=arcsinx的图像
图片尺寸379x453
arcsinx区间从0到1/2的定积分
图片尺寸420x180
y=sinx, 方法二: x∈ -,π , y=tanx
图片尺寸1063x756
arcsinx/x (令 x=sint,则 t=arcsinx) = lim (t->0) t/sint = 1
图片尺寸400x400
1 arcsinx,arctanx2.反三角函数1.4 sec^2^x,tanx1.3 tanx,cotx1.
图片尺寸1337x841
arcsinx的倒数是根号下(1-x平方)分之一.
图片尺寸426x568
arcsinx图像
图片尺寸338x600![[arcsinx/开根(1 x)]dx](https://imgs.wantubizhi.com/img/735A5D1F980B52A636CC46F12F2D1A738DBA9DA7C0E45A4F1E6E49B7E51CF12B58D0E313709FDED81FA86890A2E24667870A534BCF6859A3A9D18060E61D45542FBC273ECC34A374BD5FEFC0FB9964C6CA41120F37A9F493FB134575C89DC834)
[arcsinx/开根(1 x)]dx
图片尺寸284x302
(arcsinx),-1/(√1-x)dx
图片尺寸612x816
关系倒数关系三角函数关系反三角函数计算法则cos(arcsinx)=(1-x^2)
图片尺寸722x538