arma模型
![[时间序列分析][4]--ar模型,ma模型,arma模型介绍](https://imgs.wantubizhi.com/img/A1A61BAA66193547F3A6DD7D8EE527E9F9BCB2FA3ED36AE1CEE9AE3733A34FBB7D0F77BE5E21D535207C8B24C7CD448B4AFE8C7D53B1C2034E3F14D060CD31AC8ABC1485E38AFEFDC7EE685587ADF3807A8B489F434A1A92CAE1FE795D63AA20)
[时间序列分析][4]--ar模型,ma模型,arma模型介绍
图片尺寸650x434
关于arma模型的r语言实现
图片尺寸400x198
arma模型
图片尺寸1100x900
arma模型
图片尺寸1440x812
时间序列模型armaarmaarima
图片尺寸872x503
armahobby新品预告172雅科夫列夫雅克1b成品
图片尺寸1200x800
【arma3】f4b鬼怪副驾驶投放mk82-500磅低画质演示
图片尺寸1728x1080
【孩是宝】玩具模型 寿屋 武装机甲 arma idaten 阿尔玛 韦陀天
图片尺寸382x600
arma模型算法精讲armaarma与arima
图片尺寸766x1017
arma hobby新品预告-1/72 雅科夫列夫 雅克-1b成品
图片尺寸1200x800
arma时间序列模型
图片尺寸963x506
arma hobby新品预告-1/72 雅科夫列夫 雅克-1b成品
图片尺寸1200x800
armahobby新品预告70038172北美p51bc野马专家版
图片尺寸1024x768
2:arma模型ppt
图片尺寸1080x810
armahobby新品预告172雅科夫列夫雅克1b成品
图片尺寸1200x800
数学建模中的arma模型和arima模型的使用实例(含代码)
图片尺寸515x545
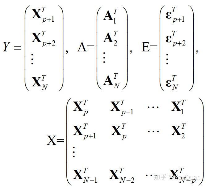
多维时间序列arma模型简介var模型
图片尺寸667x604
arma 6x6 turkey armoured tactical vehicle v2
图片尺寸600x600
armahobby新品预告172格鲁曼fm2野猫板件试模
图片尺寸900x600
时间序列分析自回归移动平均arma模型
图片尺寸411x371