boxplot图怎么画

r语言boxplot绘图经验总结
图片尺寸708x630
r同一数据多变量分组的boxplot
图片尺寸2350x1684
boxplot - qlik community
图片尺寸2048x1721
两个factor的boxplot图
图片尺寸770x816
10分钟python图表绘制seaborn入门三boxplot与violinplot
图片尺寸575x398
figdraw6sci文章绘图之箱线图boxplot
图片尺寸713x509
boxplot size
图片尺寸640x480
箱线图boxplot
图片尺寸379x265
python 数据可视化 boxplot 带刻痕 箱线图
图片尺寸615x467
一览r基础包的六个高级绘图函数盒型boxplot条形barplot直方hist饼pie
图片尺寸1080x771
boxplot(data=data)plt.subplot(235)with sns.
图片尺寸1438x942
xz1_lna,aes(x=co2,y=value,fill=it)) stat_boxplot(geom="errorbar"
图片尺寸3000x2100
graphpadprism7绘制分组箱线图boxplot
图片尺寸718x539
origin入门教程十四箱线图boxplot
图片尺寸380x285
boxplot
图片尺寸1050x1050
boxplot函数
图片尺寸538x395
箱线图boxplot的多种画法
图片尺寸392x271
box plot - matlab boxplot - mathworks america latina
图片尺寸560x420
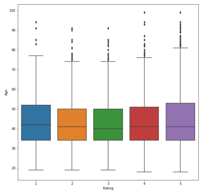
boxplot是sns中的箱型图绘制不同年龄的评价等级图我们可以从图片看出
图片尺寸691x654
个人向ggplot2箱线图总结
图片尺寸894x688