concave function

concave function
图片尺寸2912x1792
convex functions
图片尺寸1188x918
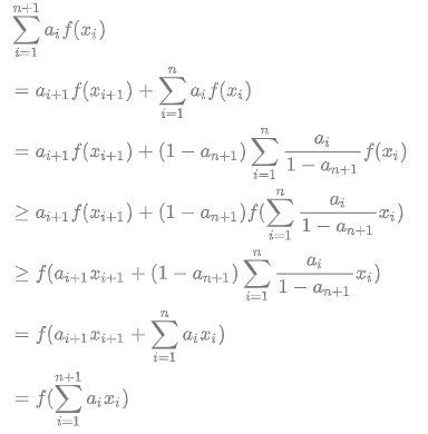
2: using the derivative to analyze functions f (x) indicates
图片尺寸805x372
维基百科中凹函数的定义 concave function
图片尺寸427x295
convexfunctions
图片尺寸973x262
凹函数和凸函数concavefunction和convexfunction
图片尺寸575x402
concave与convex函数的区分
图片尺寸1024x534
我要窒息了,我还是学别人来这样记吧, convex v concave/cave 洞穴
图片尺寸374x399
数据挖掘算法:em算法
图片尺寸921x490
concave and convex functions of a single variable_convex的
图片尺寸957x288
最大期望算法
图片尺寸1102x528
concave down: definition, function & graph
图片尺寸600x554
凸函数与凹函数(convex / concave) zz
图片尺寸671x768
concave down: definition, function & graph
图片尺寸600x400
请教个小问题
图片尺寸1021x417
学习笔记machinelearning吴恩达week1
图片尺寸1920x1080
concave and convex function
图片尺寸650x396
凸函数及其性质
图片尺寸646x399
首先需要知道凸函数(convex function)与凹函数(concave function)的
图片尺寸384x390
concave versus convex shape
图片尺寸640x325