cu2s颜色

你可能没见过的材料:硒化铜颗粒(cu2se)
图片尺寸1080x675
cu2s(硫化亚铜)或cus(硫化铜)中s都是-2价吗?
图片尺寸999x751
辉铜矿 硫化亚铜 cu2s,是一种重要的铜矿石照片
图片尺寸452x300
辉铜矿, 硫化亚铜 (cu2s),是一种重要的铜矿石
图片尺寸700x465
cus cu2s分别是什么颜色的
图片尺寸307x212
辉铜矿硫化亚铜cu2s是一种重要的铜矿石
图片尺寸700x465
保量高纯硫化亚铜粉末cu2s可定制
图片尺寸400x400
高纯硫化铜 cus
图片尺寸795x595
cu2scarbonmos2三层空心结构用于高性能储钠负极
图片尺寸700x349
辉铜矿硫化亚铜cu2s是一种重要的铜矿石
图片尺寸700x450
(1)以aln为主抑制剂的hib制造工艺;(2)以cu2s为主抑制剂的cgo制造工艺
图片尺寸656x459
硫化铜是什么颜色硫化铜是什么颜色沉淀吗
图片尺寸221x295
一种自催化室温快速合成cu2s基热电材料的方法与流程
图片尺寸986x1000
物理
图片尺寸979x444
碳酸铅等其实每种铜锈的成分都相当复杂,一件青铜器可能呈现多种颜色
图片尺寸550x825
黑色:feo,fe3o4,fes,cus,cu2s,ag2s,pbs,cuo,mno2,c粉. 8.
图片尺寸695x816
女童单鞋
图片尺寸1079x1425
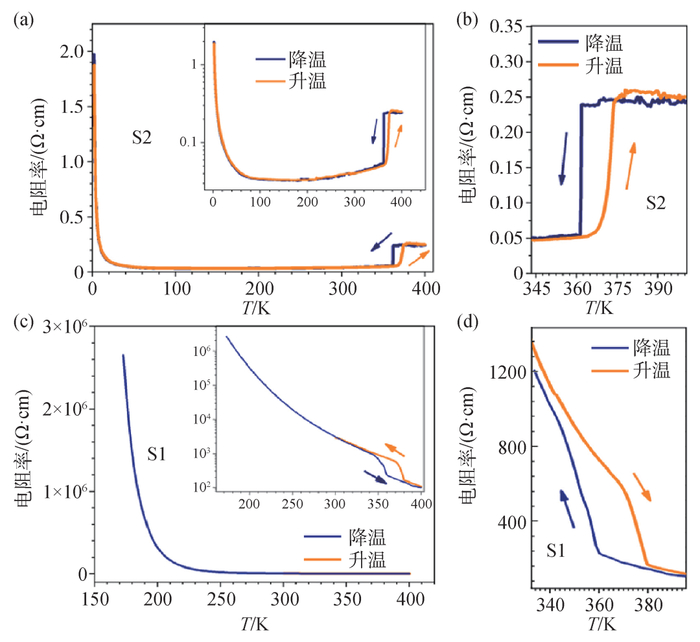
lk99室温超导假象源自cu2s一级结构相变中国物理学会期刊网
图片尺寸700x642
lk99室温超导假象源自cu2s一级结构相变
图片尺寸660x274
lk-99"室温超导"假象源自cu2s一级结构相变|超导体|室温|电阻率_新浪
图片尺寸700x501