dcs三取二逻辑图
![[问答题,简答题] 绘图题:画出怎样实现三取二逻辑图.](https://imgs.wantubizhi.com/img/A1A61BAA66193547F3A6DD7D8EE527E967686F0111DFDE28F08DB3F6017294719789A630A3C9355A05873C3CF8881E71E8B93493A19978A8F5456AA2BEE7A5945ED3FC0B534ECA4DDDA6450C888CE01C359FBE3B7FF1E358A0007AF6AE7BE909)
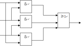
[问答题,简答题] 绘图题:画出怎样实现三取二逻辑图.
图片尺寸448x181
三取二逻辑结构是什么样的
图片尺寸837x549
绘图题:热工信号与保护系统常用的"三取二"信号输入,试画出对应的逻辑
图片尺寸340x195
dcs在硫酸生产和余热发电项目中的应用
图片尺寸1016x387
《化工制图设计》dcs控制图
图片尺寸1728x1080
一种基于powerpc的dcs控制系统技术方案
图片尺寸814x1000
请教仪表高手:液位三取二低低联锁怎么回事?
图片尺寸753x384
dcs系统的工作流程
图片尺寸452x797
玻璃制造行业分布式采集模块案例应用图三:dcs主要
图片尺寸724x433
三取二逻辑功能切换示意图
图片尺寸590x438
图三 主压缩机入口导叶控制逻辑图
图片尺寸422x609
什么是组态软件dcs系统组态是什么意思
图片尺寸1000x1146
dcs控制系统图ppt
图片尺寸1080x810
这个dcs逻辑图怎么看明白
图片尺寸959x518
dcs系统io点数计算系统组态流程和方法
图片尺寸800x475
这个dcs逻辑图怎么看明白
图片尺寸862x522
新华tisnet-xdc800 dcs系统在某纸业蒸发工段的应用
图片尺寸500x284
浙大中控dcs控制流程图
图片尺寸1249x832
一种直流保护系统三取二逻辑出口优化方法
图片尺寸1000x819
dcs逻辑图 信号发生器"sg"作用
图片尺寸457x231