delta怎么写

用delta作为签名怎么写好看
图片尺寸478x186
希腊字母读音及手写
图片尺寸600x585
delta sigma 书写
图片尺寸320x376
尼罗河三角洲字母大小写希腊字母-希腊字母delta
图片尺寸750x1000
初中数学里面是方程根的判定念"德尔塔"(delta,小写是δ)里面的三角形
图片尺寸377x315
高数 证明 delta-epsilon 第四题
图片尺寸768x1024
数学符号的手写 ,如下几个怎么写,要手写的.
图片尺寸864x1152
crossentropyloss每个layermodel实现三个函数:eval,computeprevdelta
图片尺寸1240x930
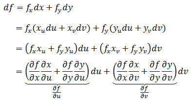
反向传播算法中逐级向前计算delta公式的由来
图片尺寸392x205
latex常见数学符号写法
图片尺寸870x664
大写的希腊字母为 首字母大写的命令,如 Γ (gamma),62 (delta)
图片尺寸1358x750
这个符号读什么?谢了
图片尺寸593x800
c语言计算ax2bxc0的解使用三个函数分别计算delta大于等于小于0时的根
图片尺寸468x175
最强指南hudideltaiceberg环境搭建
图片尺寸1440x718
扫二维码下载作业帮
图片尺寸450x215
0回答 30 idata2((n-1)/delta_t 1:n/delta_t 这句话是什么意思 0
图片尺寸450x338
4. 5. 6. delta theta gamma vega rho portfolio insurance greeks
图片尺寸1080x810
latex数学符号汇总_latex delta-csdn博客
图片尺寸429x290
新东方delta s toefl新托福考试备考策略与模拟试题 附mp3 新东方
图片尺寸300x300
ad公司牛人写的sigma-delta的讲义
图片尺寸1188x919