delta 数学

北京市北京大学数学物理方法上课件10delta函数pdf
图片尺寸792x1025
如何使用deltagamma方法计算期权的var
图片尺寸960x720
小函数大人生delta函数之美
图片尺寸635x603
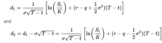
期权delta与到期时间的关系如何用数学公式推导出来
图片尺寸662x290
has its simpl无忧文档 所有分类 自然科学 数学 曲线坐标系,delta
图片尺寸1080x810
数学Δ(delta)怎么算
图片尺寸498x291
可表示成delta函数
图片尺寸1080x810
disp(simplify(iztrans(q/(1/(z-p)^m)))) end-q*(p*kroneckerdelta(n
图片尺寸917x372
数学上,delta-函数只有在积分里才有定义.
图片尺寸682x554
sobel(src, ddepth,dx,dy[, dst[, ksize[, scale[,delta[, border
图片尺寸620x514
德尔塔δ分布_delta分布-csdn博客
图片尺寸445x192
奇人狄拉克和他的怪数学
图片尺寸320x285
期权delta与到期时间的关系如何用数学公式推导出来
图片尺寸540x143
狄拉克 delta 函数(严谨定义)
图片尺寸447x161
数学_108技术型高中工科二年级 | deltamoocx
图片尺寸1192x669
我的数学-zhimap思维导图
图片尺寸672x418
有一次,看这个一维热传导方程的一个基本解,初始分布是delta(x),就
图片尺寸600x389
无忧文档 所有分类 自然科学 数学 曲线坐标系,delta函数ppt 曲线坐标
图片尺寸1080x810
理工学科 数学2012-7-26 23:24满意回答 0|评论 回答者:delta_4d 来自
图片尺寸641x218
微分和导数的关系是什么?
图片尺寸582x258