dysuria

猫咪膀胱炎结石尿血尿闭尿痛利尿通
图片尺寸1080x755
indoline compounds for the treatment of dysuria
图片尺寸1856x2304
猫咪不乱尿痛尿
图片尺寸1080x933
小便不利dysuria淋浊strangurppt课件
图片尺寸800x600
indoline compounds for the treatment of dysuria
图片尺寸1040x1502
indoline compounds for the treatment of dysuria
图片尺寸752x338
top 15 most useful medicinal plants02and its usage
图片尺寸557x545
urethral stone: a rare cause of acute retention of urine in men
图片尺寸330x350
is this inmate gaming me?
图片尺寸1978x2368
剑桥医学英语day4functionsofthebody
图片尺寸1080x1127
top 15 most useful medicinal plants02and its usage
图片尺寸640x480
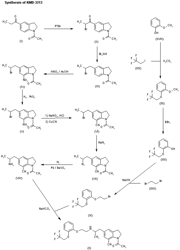
for the treatment of dysuria kitazawa, m.; ban, m.
图片尺寸592x819
pharmaceutical composition for the improvement of dysuria
图片尺寸1007x434
what is dysuria? - definition, causes, symptoms & treatment
图片尺寸300x231
pharmaceutical composition for the improvement of dysuria
图片尺寸1733x2655
pharmaceutical composition for the improvement of dysuria
图片尺寸1589x2567
小便不利dysuria淋浊strangur无水印完整
图片尺寸800x600
u world fa head/neck & genitourinary
图片尺寸500x375
indoline compounds for the treatment of dysuria
图片尺寸1856x2568
heat, to promote the drainange of pus, and to relieve dysuria
图片尺寸472x294