e^x求导

e的x次方求导为什么等于e的x次方?
图片尺寸2835x2835
y=e^-x 怎么求导 ?我算错了 .我以为e^x的导数都不变的
图片尺寸600x800
请您详细讲讲e的求导法则好吗?请看下面的题.
图片尺寸350x463
e的负x次方的导数为什么不能直接用公式e的x次方=e的x次方来算
图片尺寸375x542
e的x y次方对x求导?
图片尺寸209x354
e^y xy-e=0分别对x,y求导,有什么区别
图片尺寸225x454
e的xy次幂=x y的导数
图片尺寸612x816
请问y=e的x^2次方如何对x求导
图片尺寸1360x555
e的2x次方的导数是什么
图片尺寸864x1152
探讨"隐函数求导"的几何意义
图片尺寸640x438
展开全部 很可惜,楼上的复合函数求导概念搞错了.
图片尺寸864x1248
e2x的导数
图片尺寸640x341
e的x方的导数是
图片尺寸640x381
x/e^x怎么求导,请把过程弄详细一点,我的基础不好
图片尺寸537x313
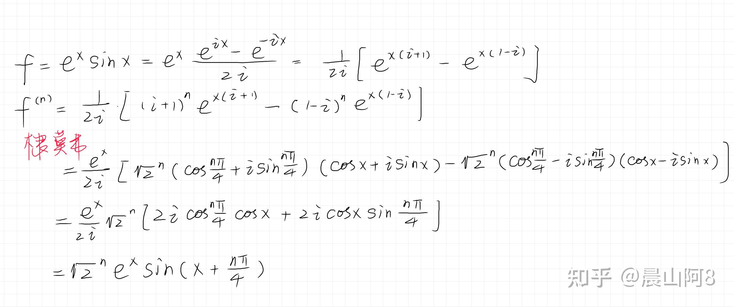
e的x次方乘sinx的n阶导怎么算? - 知乎
图片尺寸2494x1044
以e为底x的对数的三次幂的导数是
图片尺寸816x612
y=(x^2)(e^2x)的二阶导数怎么求,要具体步骤
图片尺寸1024x1013
e的2x次方-x的导数是什么?
图片尺寸671x458
y=e^(-2x)的一阶和二阶导数
图片尺寸744x992
e的x方的导数是
图片尺寸583x427